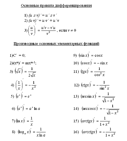
Производная

Хронология изучения алгебры в 10 классе

  • Функции. Свойства функций

    Функции. Свойства функций

  • Period: to

    Функции. Свойства функций

  • Степенная функция

    Степенная функция

  • Period: to

    Степенная функция

  • Тригонометрические функции

    Тригонометрические функции

  • Period: to

    Тригонометрические функции

  • Тригонометрические уравнения и неравенства

    Тригонометрические уравнения и неравенства

  • Period: to

    Тригонометрические уравнения и неравенства

  • Производная и ее применение

    Производная и ее применение

  • Period: to

    Производная и ее применение

Looking for a timeline maker?

Create timelines for projects, roadmaps, history, lessons, legal cases, and stories with Timetoast. Timetoast is a timeline maker for work, school, research, and stories.