Atomo simbolo ios interfaz 7 318 34383

Trabajo - Matias Rossetti

  • Teoria Atomica de Dalton

    Teoria Atomica de Dalton

    La imagen del átomo expuesta por Dalton en su teoría atómica, para explicar estas leyes, es la de minúsculas partículas esféricas, indivisibles e inmutables,
    iguales entre sí en cada elemento químico.
  • La Radiación de Pierre y Marie Curie

    La Radiación de Pierre y Marie Curie

    Ellos dos fueron fundamentales para el descubrimiento de la radioactividad.
    Apartir de estos resultados, emitieron la hipótesis de que la radioactividad es un proceso atómico que no es afectado por el estado físico, ni por la presencia de elementos no radioactivos.
  • Teoria Atomica de Thomson (Modelo de Budín)

    Teoria Atomica de Thomson (Modelo de Budín)

    De este descubrimiento dedujo que el átomo debía de ser una esfera de materia cargada positivamente, en cuyo interior estaban incrustados los electrones.
  • El Efecto Fotoelectrico de Einstein

    El Efecto Fotoelectrico de Einstein

    Es una interacción entre un único foton y un único átomo. Cada foton cede la energía que posee a un único átomo de metal con el que colisiona. Por ello al aumentar el numero de fotones incidentes, aumenta el numero de electrones emitidos.
  • Modelo Atómico de Rutherford

    Modelo Atómico de Rutherford

    Dedujo que el átomo debía estar formado por una corteza con los electrones girando alrededor de un núcleo central cargado positivamente.
  • Modelo Atomico de Bohr

    Modelo Atomico de Bohr

    Propuso un nuevo modelo atómico, según el cual los electrones giran alrededor del núcleo en unos niveles bien definidos.
  • El Neutron de Chadwick

    El Neutron de Chadwick

    Chadwick descubrió la partícula en el núcleo del átomo que pasaría a llamarse neutrón
  • Comportamiento Dual del Electron (Louis-Victor de Broglie)

    Comportamiento Dual del Electron (Louis-Victor de Broglie)

    de Broglie postuló que los electrones (Así como otras partículas materiales) tenían un comportamiento dual, es decir actúan como ondas y como partícula al mismo tiempo, pues cualquier partícula que tiene masa y que se mueve a cierta velocidad, podía comportarse además como una onda.
  • Modelo Atomico Mecanico Cuantico (Moderno 2018)

    Modelo Atomico Mecanico Cuantico (Moderno 2018)

    Este modelo se basa en 3 principios (Debroglie, Heisenberg y Schrondinger), los cuales incorporan conocimientos sobre el electrón, y también los números cuánticos.
    Aparte explica que el átomo esta dividido en 2 zonas:
    -La interna: Núcleo: Protones y Neutrones.
    -La externa: Extremo Cortical: Electrones.
    Los electrones son distribuidos en nubes electrónicas las cuales son llamadas orbitales.
  • Principio de Exclusion de Pauli

    Principio de Exclusion de Pauli

    Establece que no puede haber dos electrones con todos sus números cuánticos idénticos (esto es, en el mismo estado cuántico) dentro del mismo sistema cuántico.
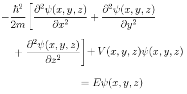
  • Ecuacion de Schrödinger (Erwin Schrödinger)

    Ecuacion de Schrödinger (Erwin Schrödinger)

    Describe la evolución temporal de una partícula subatómica masiva de naturaleza ondulatoria y no relativista.
  • Principio de Incertidumbre (Heisenberg)

    Principio de Incertidumbre (Heisenberg)

    Establece la imposibilidad de que determinados pares de magnitudes físicas observables y complementarias sean conocidas con precisión arbitraria. Sucintamente, afirma que no se puede determinar, en términos de la física cuántica, simultáneamente y con precisión arbitraria, ciertos pares de variables físicas, como son, la posición y el momento lineal de un objeto dado.

Want to make a timeline like this?

Use Timetoast to turn dates, events, milestones, and phases into a clear visual timeline you can build and share. Timetoast is a timeline maker for work, school, research, and stories.