Atom

Timeline of the Atom

By bnlandi
  • Antoine Lavoisier

    Antoine Lavoisier

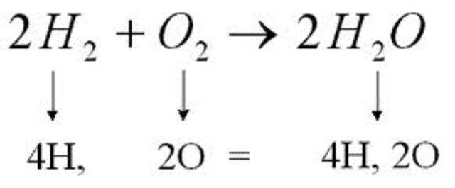
    Law of Conservation of mass: when a chemical change occurs, the mass at the beginning of the chemical change was equal to the mass at the end of the chemical change.
  • Proust

    Proust

    Law of definite proportions: specific substances always contain elements in the same ration by mass
  • Gay-Lussac

    Gay-Lussac

    The Law of combining volumes stated that when two gases react, the volumes of the reactants and products—if gases—are in whole number ratios.
  • Dalton

    Dalton

    He stated that The ratio of masses of one element that combine with a constant mass of another element can be expressed in small whole numbers.
  • Avogadro

    Avogadro

    He proposed that equal volumes of gases, at the same temperature and pressure, contain equal numbers of molecules.
  • Marie Curie

    Marie Curie

    Marie Curie, with the help of her husband found that rays are given off by uranium and radium and discovered radium and polonium.
  • Henri Becquerel

    Henri Becquerel

    He discovered uranium radiation and lead Marie Curie to her discovery.
  • J.J. Thomson

    J.J. Thomson

    He discovered that cathode rays consist of electrons and determined the ratio of an electron’s charge to its mass.
  • Albert Einstein

    Albert Einstein

    Einstein explained the origin of of the energy released during nuclear changes.
    -E=mc2 : mass and energy are equivalent
  • Max Planck

    Max Planck

    He stated that energy is given off in quanta (little packets) instead of instead of continuously
    -E= hv (h is constant)
    -The quantum theory
  • Robert Millikan

    Robert Millikan

    He made the first accurate measurement of an electron’s charge with the oil drop experiment
  • Henry Moseley

    Henry Moseley

    Moseley studied X-rays made in X-ray tubes
    and found that the wavelength of the x-ray is a characteristic of the metal used as the anode.
  • Lord Rutherford

    Lord Rutherford

    Rutherford brought together group of physicists that developed the beginnings of our concept of atomic structure through experiments and hypothesises under Rutherford’s direction. He and his group concluded that the atom is mostly empty space & small “core” to the atom that contained all the positive charge and most of the mass
  • Bohr

    Bohr

    Bohr developed a planetary modal of an atom to try to explain the hydrogen spectrum.
  • Werner Heisenber

    Werner Heisenber

    The Heisenberg uncertainty principle shows that it’s impossible to know both the exact position and momentum of an object at the same time.

Want to make a timeline like this?

Use Timetoast to turn dates, events, milestones, and phases into a clear visual timeline you can build and share. Timetoast is a timeline maker for work, school, research, and stories.