• Descubrimiento

    Descubrimiento

    En 1916, Sommerfeld perfeccionó el modelo atómico de Bohr intentando paliar los dos principales defectos de este.
  • Dato

    Sommerfeld postuló que el núcleo del átomo no permanece inmóvil, sino que tanto el núcleo como el electrón se mueven alrededor del centro de masas del sistema,
  • Pasar del tiempo

    Pasar del tiempo

    En 1916, Arnold Sommerfeld, con la ayuda de la teoría de la relatividad de Albert Einstein, hizo las siguientes modificaciones al modelo de Bohr: Los electrones se mueven alrededor del núcleo, en órbitas circulares o elípticas.
    A partir del segundo nivel energético existen uno o más subniveles en el mismo nivel.
    El electrón es una corriente eléctrica minúscula.
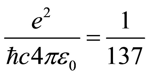
  • Pasar del tiempo

    Pasar del tiempo

    introdujo la constante de la estructura fina en 1919.

Looking for a timeline maker?

Create timelines for projects, roadmaps, history, lessons, legal cases, and stories with Timetoast. Timetoast is a timeline maker for work, school, research, and stories.