1

Segundo Parcial

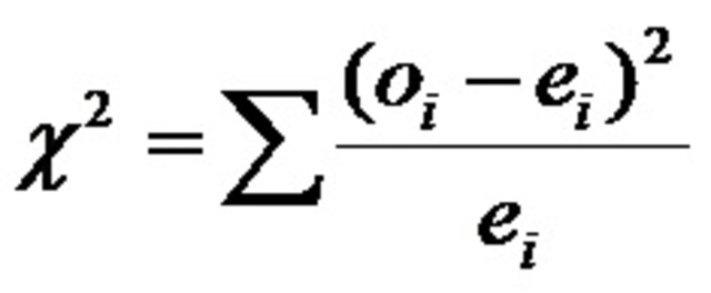
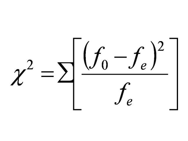
  • Analisis Chi x2

    Analisis Chi x2

  • Analisis de datos cualitativos

    Implica comparación de un patrón observado
  • Es aplicable en:

    Se aplica en la distribución de probabilidad
  • Su uso:

    Servirá para probar la bondad de ajuste , la independencia de dos variables y las hipótesis.
  • Pruebas de bondad de ajuste

  • Hipótesis Nula

    Hipótesis Nula

    Es una prueba de bondad de ajuste es una especificación respecto al patrón de frecuencias.
  • Hipótesis Nula Aceptada

    Las diferencias entre frecuencias observadas y frecuencias esperadas deben ser atribuibles a la variabilidad.
  • Pruebas de bondad de ajuste

    Los grados de liberad son el número de categorías, menos el numero de parámetros estimados a partir de la muestra -1.

Looking for a timeline maker?

Create timelines for projects, roadmaps, history, lessons, legal cases, and stories with Timetoast. Timetoast is a timeline maker for work, school, research, and stories.