Historia de la Quimica Organica

  • Clasificación de los productos químicos naturales

    Clasificación de los productos químicos naturales

    Nicolás Lemery clasifica los productos quimicos naturales, segun su origen en minerales, vegetales y animales.
  • Constitucion de los productos vegetales y animales

    Constitucion de los productos vegetales y animales

    Antoine Lavoisier demuestra que todos los productos vegetales y animales están formado básicamente por carbono e hidrógeno y, en menor proporción, nitrógeno, oxigeno y azufre.
  • Introducción del termino ¨Química Orgánica¨

    Introducción del termino ¨Química Orgánica¨

    El termino ¨Química Orgánica¨ se introdujo por Jöns Jacob Berzelius para estudiar los compuestos derivados de los recursos naturales.
  • Purpura de anilina

    Purpura de anilina

    William H. Perkin desarrolla accidentalmente la purpura de anilina, tinte de gran demanda.
  • Sintesis de alizarina

    Sintesis de alizarina

    Karl Graebe determina la estructura quimica de la alizarina, colorante de color anaranjado y su sintesis a partir de atraceno.
  • 1er plástico sintético

    1er plástico sintético

    Jhon Wesley Hyatt desarrolla el celuloide que es el 1er plástico sintético.
  • Estructura de la clorofila

    Estructura de la clorofila

    Richard Willstater establece cuidadosamente la estructura de la clorofila.
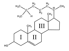
  • Estructura de los esteroides

    Estructura de los esteroides

    Heinrich Wieland y Adolf Windaus determinan la estructura de los esteroides.
  • Estructura de los carotenoides

    Estructura de los carotenoides

    Paul Karrer establece la estructura de los carotenoides.
  • Producción del neopreno

    Producción del neopreno

    William Carothers realiza trabajos sobre la polimerizacion y produce el neopreno.
  • Primera fibra sintética

    Primera fibra sintética

    William Carothers sintetiza la primera fibra sintética, NYLON 6,6.
  • Descubrimiento de los ácidos desoxirribonucleicos

    Descubrimiento de los ácidos desoxirribonucleicos

    Oswald Avery y otros científicos dan a conocer los ácidos desoxirribonucleico,
  • Catalizadores Ziegler-Natta

    Catalizadores Ziegler-Natta

    Se desarrollan los catalizadores Ziegler-Natta que son complejos metal con propiedades catalíticas que permite la periodización estereoespecifica de alquenos.
  • Investigación de los carbocationes

    Investigación de los carbocationes

    George A. Olah investigo sobre los carbocationes que estos son importantes en la producción de materiales sintéticos.
  • Tercera forma estable del carbono

    Tercera forma estable del carbono

    Robert F. Curl, Harold Kroto y Richard E. Smalley descubrieron que los fullerenos son la tercera forma mas estable del carbono con molécula en forma cristalina.
  • Síntesis de la molécula ATP

    Síntesis de la molécula ATP

    Se descubre la enzima transportadora. Esto esclarece la síntesis de la molécula ATP.
  • Polímeros conductores

    Polímeros conductores

    Se descubre y desarrolla los primeros polímeros conductores como la melanina.
  • Proteína verde fluorescente

    Proteína verde fluorescente

    Osamu Shimomura, Martin Chalfie y Roger Tsien descubren la proteína verde fluorescente que producen las medusas Aequorea victoria.

Looking for a timeline maker?

Create timelines for projects, roadmaps, history, lessons, legal cases, and stories with Timetoast. Timetoast is a timeline maker for work, school, research, and stories.