Nobel..

Premios Nobel en Química Organometálica.

  • Los Primeros Compuestos

  • Primer compuesto organometálico

    Primer compuesto organometálico

    Louis Clause Cadete, farmacéutico militar Francés trató minerales de cobalto (esmaltita CoAs, cobaltita CoAsS2) con ácidos. En sus investigaciones realizó la siguiente reacción 4 CH3 4CH3CO2K + As2O3 → [(CH3) 2As] 2O + (CH3) 2-As-As- CH3) 2
  • Primer compuesto de olefina

    Primer compuesto de olefina

    Se sintetiza y aísla el complejo organometálico K [h2-C2H4PtCl3] Es el primer complejo olefínico (π).
  • Primer nombre para un compuesto organometálico

    RW Bunsen los nombró alcarsinas y obtuvieron muchos derivados.
  • Reacción de transmetalación

    Reacción de transmetalación

    E. Frankland sintetizó compuestos organomercurio y haluros de alquil mercurio. Introdujo el concepto de valencia y el término organometálico.
    Los derivados de Zn y Hg se utilizaron para obtener otros compuestos organometálicos del grupo principal por reacción de transmetalación
  • Complejos de organoplomo

    CJ Löwing y MEScheizer en Zurich sintetizaron complejos organoplomo a partir del haluro de alquilo, plomo y sodio amalgamado
    En 1922 Midgeley y colaboradores (General Motor Company), encontraron el tetraetilplomo servía como agente antidetonante
  • Síntesis de ioduros de alquilaluminio

    W. Hallwachs y A. Schafarik sintetizaron ioduros de alquilaluminio
  • Primeros compuestos órgano clorosilanos

    C. Friedel y JM Crafts prepararon los primeros compuestos órgano clorosilanos
  • Compuestos alquil magnesianos

    Wanklyn desarrollo un método para la síntesis de compuestos alquil magnesianos libre de haluros
  • 1868-1870 Los primeros complejos carbonil-M

    1868-1870 Los primeros complejos carbonil-M

    MP Schutzenberger obtuvo los primeros complejos carbonil-M
  • Compuestos organometálicos en la tabla periódica

    DE Mendeleev estudió compuestos organometálicos como prueba para su tabla periódica
  • NiCO4

    NiCO4

    L Mond estudió la corrosión durante el proceso Solvay y encontró el primer carbonilo binario: NiCO4
  • Síntesis del Fe(CO)5

    Síntesis del Fe(CO)5

    L. Mond y C. Langler sintetizaron el Fe (CO) 5
  • Reactivo de Grignard

    Reactivo de Grignard

    P. Barbier reemplazó por Mg el Zn en las reacciones con ioduros de alquilos.
    Esto fue mejor explorado por su estudiante Victor Grignard.
  • Comienzo de la Química Organometálica

  • Hidrogenación de compuestos orgánicos con catalizadores metálicos

    Paul Sabatier investigó la hidrogenación de compuestos orgánicos con catalizadores metálicos.
    La hidrogenación de grasas impulsó los avances en la industria alimentaria
  • Difenilsilicona

    Difenilsilicona

    LFS Kipping prepara (C6H5) 2SiO, lo denomina difenilsilicona al sospechar de su alta molecularidad
  • Sintesis del primer complejo de un metal de transición

    Sintesis del primer complejo de un metal de transición

    WJ Pope sintetizó el primer complejo organometálico de un metal de transición con enlace σ
  • Caracterización del SABALSAN.

    Caracterización del SABALSAN.

    P. Ehrlich, inventor de la quimioterapia (Nobel 1908), preparó el remedio para la sífilis ampliamente usado SALVARSAN
  • Premio Nóbel para Victor Grignard y Paúl Sabatier

  • Transalquilación

    W. Schlenk, preparó reactivos de alquillitios a través de la
    transalquilación
  • Síntesis de un compuesto ¨sandwich¨

    Síntesis de un compuesto ¨sandwich¨

    F. Hein sintetizó el primer complejo metálico con un aromático;
    para la época denominado compuesto polifenilcromo.
  • Proceso Fischer-Tropsh

    Proceso Fischer-Tropsh

    Se desarrolla el proceso Fischer-Tropsh para la síntesis de
    hidrocarburos líquidos por reacción del CO con H2 (1-300 atm)
    a 180-300ºC en presencia de catalizadores de Ni, Co o Fe.
  • Preparacion de HexacarbonilodeCromo

    Preparacion de HexacarbonilodeCromo

    A. Job - A.Cassal preparan Cr(CO)6
  • Carbonilos metálicos

    Carbonilos metálicos

    W. Hieber inicia su estudio sistemático de
    carbonilos metálicos
  • Complejo de hidruro

    W. Hieber preparó el primer complejo hidruro de metal de
    transición
    Fe(CO)4H2
  • Descripcion del enlace Ni(CO)4

    L. Pauling introduce una descripción del enlace en Ni(CO)4
  • Proceso OXO

    Proceso OXO

    Otto Roelen descubrió el proceso OXO catalizado por complejos de Cobalto.
    La hidroformilación es el proceso homogéneo más grande e importante
    Se producen en el mundo más de 50 millones de toneladas por año.
  • Rx de acetilenos catalizadas

    W. Reppe trabajó sobre reacciones de acetilenos catalizadas por MT
  • Sintesis de siliconas

    E.G. Rochow llevó a cabo la sintesis directa de siliconas, que
    desencadena su producción a gran escala
  • Clasificacion de compuestos organicos

    H.Taube clasifica los compuestos inorgánicos en inertes o lábiles
    en base a reacciones de sustitución de ligandos, en función de su
    estado de oxidación
  • Teoria de enlace metales de transicion con alquenos

    M.J.S. Dewar propuso una teoría de enlace para complejos de
    alquenos con metales de transición
  • Descubrimiento del ferroceno

    Descubrimiento del ferroceno

    Descubrimiento del ferroceno por dos grupos simultáneamente
  • determinación de estructura ¨sándwich¨ por rayos x

    determinación de estructura ¨sándwich¨ por rayos x

    Wilkinson propuso la estructura tipo sandwich para el ferroceno
    y Fisher determinó su estructura por rayos X (1956)
  • Poliolefinas a partir de etileno

    K.Ziegler, G. Natta, sintetizaron poliolefinas a partir de etileno o propileno en un proceso a baja presión, empleando mezclas de
    catalizadores metálicos (haluros de metal de transición/AlR3)
  • Hidroboración

    Hidroboración

    H.C. Brown, hidroboración (Premio Nobel 1970)
  • Preparacion de [(C3H5)PdCl]2

    Preparacion de [(C3H5)PdCl]2

    J. Smidt, W. Hafner, prepararon [(C3H5)PdCl]2, establecieron
    el campo de complejos metálicos de transición p-alil
  • Icosaedro closo-borano

    Icosaedro closo-borano

    M.F.Hawthorne prepara el icosaedro closo-borano dianiónico
    [B12H1
  • Rayos X de la vitamina B12

    Rayos X de la vitamina B12

    Crowfood y Hodgkins determinaron la estructura de rayos X de la vitamina B12 aislada del hígado como cristales rojos. Debido a los enlaces Co-C en el quelato, se constituyó como el primer compuesto natural con enlace metal carbono. (Premio Nobel 1964)
  • catalizador de Iridio

    catalizador de Iridio

    L.Vaska - catalizador de iridio (hidrogenación de alquenos)
  • Premio Nobel para Karl Ziegler y Giulio Natta

    Premio Nobel para Karl Ziegler y Giulio Natta por el catalizador que lleva su nombre. Polimerización estereoespecífica de alquenos.
    Primera aplicación: polietileno
  • Primer complejo de carbeno

    Primer complejo de carbeno

    E. O. Fischer aisló el primer complejo de tipo carbeno:
    (CO)5W=C(OMe)Me
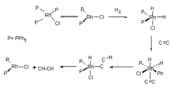
  • Hidrogenacion de alqenos

    Hidrogenacion de alqenos

    Wilkinson y Coffey (independientemente) desarrollaron su
    catalizador de hidrogenación de alquenos:
    RhCl(PPh3)3
  • Estabilización de (Ph3P)2Rh(Cl)CS

    G. Wilkinson estabiliza el altamente reactivo monosulfuro de
    carbono en el complejo de rodio (Ph3P)2Rh(Cl)CS
  • sintesis de acido acetico mediante rodio por Monsanto

    Monsanto desarrolló el proceso de síntesis del ácido acético
    mediante catalizadores de rodio.
  • Primer complejo ¨sandwch¨ tripe

    Primer complejo ¨sandwch¨ tripe

    H. Werner, sintetizó [(C5H5)3Ni2]+, el
    primer complejo sándwich triple
  • Obtencion del complejo carbino

    E.O.Fischer, obtuvo el primer complejo
    carbino
  • Premio Nobel por compuestos Sandwich-metalocenos

    Premio Nobel para E.O.Fischer y G. Wilkinson – por sus estudios
    sobre la química de los compuestos Sandwich- metalocenos
  • Patente de la hidrocianación

    Patente de la hidrocianación

    DuPont patentó la hidrocianación del butadieno para la obtención
    del adiponitrilo
  • Premio Nobel, estructura y enlace de los boranos

    Premio Nobel a W.N.Lipscomb, por la explicación teórica y
    experimental de la estructura y enlace en los boranos
  • Premio Nobel por conceptos del OM

    Premio Nobel para R.Hoffmann y K.Fukui, por sus aportes a los
    conceptos del OM semiempírico, en una discusión unificada de la
    estructura y reactividad de moléculas inorgánicas, orgánicas y
    organometálicas (analogía isolobal).
  • Fullereno

    Fullereno

    R. E. Smalley y Kroto descubrieron el fullereno (C60).
  • Adición enantioselectiva catalítica de reactivos organozinc

    R.Noyori desarrolla la adición enantioselectiva catalítica de
    reactivos organozinc, ZnR2, a compuestos carbonilos.
  • Sintesis del decametilsilicoceno

    P.Jutzi, prepara el decametilsilicoceno, Cp*
    2Si.
  • Síntesis AlCl(solv)

    H.Schnöckel sintetiza AlCl(solv), que usa en el desarrollo de la
    química organometálica de aluminio monovalente, por ejemplo,
    Cp*4Al4 (1991).
  • Sintesis de [iBu12Al12]2–

    W.Uhl, sintetiza el closo-alano icosahédrico aniónico [iBu12Al12]2–
  • Inserción de Rh en el enlace C–C

    D.Milstein reporta la inserción de Rh en el enlace C–C
    (activación C–C).
  • Síntesis en el primer S-complejo de un silano

    G.Kubas sintetiza el primer s-complejo de un silano y estudia el
    tautomerismo con la forma hidrurosilil: esta observación contribuye
    al entendimiento del mecanismo de activación del enlace C–H.
  • Primer complejo germino con enlace triple

    P.P.Power preparó el primer complejo germino con enlace triple
    molybdeno–germanio.
  • Monitoreo de deshidrogenación de moléculas sencillas de etileno

    W.Ho monitorea la deshidrogenación de moléculas sencillas de
    etileno sobre una superficie de Ni(110) por medio de scanning
    tunneling microscopy (STM) e inelastic electron tunneling
    spectroscopy (IETS).
  • Premio Nobel K.B.Sharpless, W.S.Knowles, y R.Noyori por su trabajo pionero en el campo de la catálisis enantioselectiva.

    Premio Nobel para K.B.Sharpless, W.S.Knowles, y R.Noyori por su
    trabajo pionero en el campo de la catálisis enantioselectiva.
  • Primer molecula con enlace no soportado, Cp*Zn–ZnCp*

    E.Carmona reporta el decametildizincoceno Cp*Zn–ZnCp*, la
    primera molécula con un enlace no soportado ZnI–ZnI
  • Caracterización de un primer compuesto con un triple enlace Si-Si

    A.Sekiguchi caracteriza completamente el R–Si≡Si–R, el primer
    compuesto con un triple enlace Si-Si
  • Premio nobel por mecanismo y aplicaciones de catalizadores activos en la metátesis de olefinas.

    Premio Nobel para Y.Chauvin, R.R.Schrock, y R.H.Grubbs por los
    estudios orientados sobre el mecanismo y aplicaciones de
    catalizadores activos en la metátesis de olefinas.
  • Tres métodos desarrollados para la preparación de moléculas orgánicas complejas

    Tres métodos desarrollados para la preparación de moléculas orgánicas complejas

    Richard F. Heck, Ei-ichi Negishi y Akira Suzuki. Los tres métodos desarrollados para la preparación de moléculas orgánicas complejas a partir de materias primas simples, utilizando un catalizador de metal de transición, particularmente paladio. Estos métodos se conocen genéricamente como reacciones de acoplamiento cruzado, que fueron desarrollados y lanzados en los años setenta. Se presentan aquí brevemente.
    https://doi.org/10.1016/S0187-893X(18)30117-4

A list shows items. A timeline shows sequence.

Use Timetoast to make dates, milestones, and turning points easier to understand in a clear visual format. Timetoast is a timeline maker for work, school, research, and stories.