"Precursores y aportaciones"

  • Calculos-Augusta Ada
    1838 BCE

    Calculos-Augusta Ada

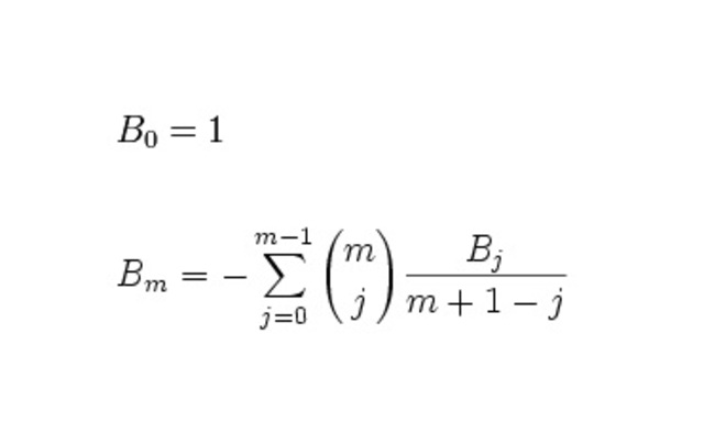
    El desarrollo de las primeras instrucciones para hacer cálculos en una versión temprana del ordenador (Máquina Analítica de Babbage). Llegó a escribir para Babbage un programa que permitía calcular los valores de los números de Bernoulli:
  • Máquina Diferencial- Charles Babbage
    1812 BCE

    Máquina Diferencial- Charles Babbage

    Es una calculadora mecánica de propósito especial, diseñada para calcular funciones polinómicas.
  • Telar de Jacquard
    1801 BCE

    Telar de Jacquard

    El artilugio utilizaba tarjetas perforadas para conseguir tejer patrones en la tela, permitiendo que hasta los usuarios más inexpertos pudieran elaborar complejos diseños.
  • Signo de Integracion- Gottfried Leibniz
    1675 BCE

    Signo de Integracion- Gottfried Leibniz

    Se usa para denotar una integral en matemáticas.
    El símbolo se basó en el carácter ſ (S larga), y se escogió debido a que una integral es el límite de una suma.
  • Cálculo infinitesimal-Gottfried Leibniz
    1670 BCE

    Cálculo infinitesimal-Gottfried Leibniz

    El cálculo infinitesimal se divide en dos áreas: cálculo diferencial y cálculo integral.
    Las aplicaciones del cálculo integral están en cómputos que incluyen elementos de área, volumen, centro de masa, longitud de arco, trabajo y presión.
  • Triángulo de Pascal
    1654 BCE

    Triángulo de Pascal

    Es una representación de los coeficientes binomiales ordenados en forma triangular..El triángulo de Pascal se construye de la siguiente manera: se comienza en el número «1» centrado en la parte superior; después se escriben una serie de números en las casillas situadas en sentido diagonal descendente, a ambos lados, del siguiente modo: se suman las parejas de cifras situadas horizontalmente (1 + 1), y el resultado (2) se escribe debajo de dichas casillas.
  • Pascalina- Blaise Pascal
    1642 BCE

    Pascalina- Blaise Pascal

    Fue la primera calculadora que funcionaba a base de ruedas y engranajes.Las ruedas representaban el «sistema decimal de numeración». Cada rueda constaba de diez pasos, para lo cual estaba convenientemente marcada con números del 9 al 0.
  • Teoremas de geometría proyectiva- Blaise Pascal
    1639 BCE

    Teoremas de geometría proyectiva- Blaise Pascal

    Si un hexágono arbitrario ABCDEFse encuentra inscrito en alguna sección cónica, y se extienden los pares de lados opuestos hasta que se cruzan, los tres puntos OPQ en los que se intersecan se encontrarán ubicados sobre una línea recta, denominada la recta de Pascal de esta configuración.
    El teorema se suele visualizar sobre un hexágono cíclico inscrito en una elipse (es decir, con sus vértices unidos correlativamente en el orden en que aparecen al recorrer la cónica).
  • Miritici Logarihmorum -John Napier
    1614 BCE

    Miritici Logarihmorum -John Napier

    Creacion del concepto de logaritmo.
    Un logaritmo es el exponente al cual es necesario elevar a una determinada cantidad positiva para que resulte un número determinado.
  • Raices Imaginarias-John Napier
    1570 BCE

    Raices Imaginarias-John Napier

    Investigación acerca de las raíces imaginarias de ecuaciones.
  • ÁBACO
    600 BCE

    ÁBACO

    El ábaco, es un instrumento para contar y hacer cálculos matemáticos. Consiste en un cuadro de madera con barras paralelas por las que corren bolas movibles.