Imag1

Placa de baquelita y circuitos

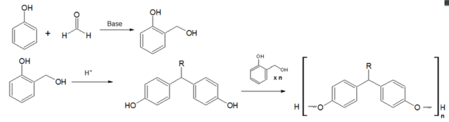
  • Creación del plástico

    Creación del plástico

  • Experimentación con la baquelita

    Experimentación con la baquelita

  • Creacion de la placa de baquelita

    Creacion de la placa de baquelita

  • Creacion Compañía General Bakelite en los EE.UU,

    Creacion Compañía General Bakelite en los EE.UU,

  • Fabricación de un circuito impreso (radio)

    Fabricación de un circuito impreso (radio)

  • Uso Comercial de la placa de baquelita

  • Fabricación de circuitos con "auto ensamblaje" (radio)

    Fabricación de circuitos con "auto ensamblaje" (radio)

  • Mycro 1 (Microordenador)

    Mycro 1 (Microordenador)

  • Creacion de la primer Personal Computer (PC)

    Creacion de la primer Personal Computer (PC)

  • Placa Madre XT

    Placa Madre XT

  • Placa Madre AT

    Placa Madre AT

  • Placa Madre ATX

    Placa Madre ATX

  • Placa Madre ITX

    Placa Madre ITX

  • Placa Madres TX

    Placa Madres TX

  • Placa Madre DTX

    Placa Madre DTX

Plan projects on a visual timeline

Map milestones, phases, deadlines, and key events in one place so the sequence is easier to see and share. Timetoast is a timeline maker for work, school, research, and stories.