nascita della fisica moderna

  • scoperta dell'elettrone

    scoperta dell'elettrone

    Il 1897 è l'anno in cui Joseph John Thomson (1865-1940), direttore del Cavendish Laboratory di Cambridge osservò che i raggi catodici erano sensibili ai campi elettrici e magnetici e che si comportavano come particelle cariche negativamente.
  • ipotesi di Planck, quanti (quantità discreta ed indivisibile)

    La legge di Planck afferma che l'energia associata a una radiazione elettromagnetica è trasmessa in pacchetti discreti chiamati quanti, ciascuno dei quali è associato a un singolo fotone.
    La dimensione E di un quanto di energia dipende dalla frequenza ν moltiplicata per la costante di Planck.
  • Spiegazione dell'effetto fotoelettrico

    La scoperta dell'effetto fotoelettrico va fatta risalire alla seconda metà del XIX secolo e ai tentativi di spiegare la conduzione nei liquidi e nei gas.
    Nel 1905 Einstein ne diede l'interpretazione corretta, intuendo che l'estrazione degli elettroni dal metallo si spiegava molto più coerentemente ipotizzando che la radiazione elettromagnetica fosse costituita da pacchetti di energia o quanti, poi denominati fotoni.
  • Scoperta dei raggi cosmici

    L'origine extraterrestre di parte della radiazione cosmica è dovuta agli studi, indipendenti e contemporanei, dell'italiano Domenico Pacini (fra il 1907 e il 1911) e dell'austriaco Victor Franz Hess (tra il 1911 e 1912).
    Victor Hess vinse il Premio Nobel per la fisica nel 1936 per le sue pionieristiche ricerche nel campo della radiazione cosmica, Pacini era morto da due anni e dunque non più eleggibile.
  • Effetto Compton

    La diffusione Compton o effetto Compton è un fenomeno di scattering interpretabile come un urto perfettamente elastico tra un fotone e un elettrone. Il fenomeno, osservato per la prima volta da Arthur Compton nel 1922, è considerato uno dei risultati sperimentali decisivi in favore della descrizione quantistica della radiazione elettromagnetica.
  • Ipotesi di de Broglie

    De Broglie ipotizza la stessa corrispondenza che esiste tra un’onda luminosa ed un quanto di luce deve esistere tra una particelle ed una onda di materia.
    Ad una particella che possiede quantità di moto pari a p viene associata un’onda piana di lunghezza d’onda pari a λ=h / p.
  • Principio di esclusione di Pauli

    l principio di esclusione di Pauli afferma che due fermioni identici non possono occupare simultaneamente lo stesso stato quantico.
  • Equazione di Schrödinger

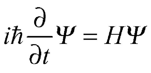
    Equazione di Schrödinger

    In meccanica quantistica l'equazione di Schrödinger è un'equazione fondamentale che determina l'evoluzione temporale dello stato di un sistema, ad esempio di una particella, di un atomo o di una molecola.
  • principio di indeterminazione di Heisenberg

    principio di indeterminazione di Heisenberg

    Il principio di indeterminazione di Werner Karl Heisenberg stabilisce i limiti nella conoscenza e nella misurazione dei valori di grandezze fisiche coniugate o, nelle formulazioni più recenti e generali, incompatibili in un sistema fisico.
    Nella forma più nota, viene espresso dalla relazione secondo cui il prodotto dell'incertezza sulla posizione (Delta x) e quello sulla quantità di moto (Delta p) di una particella è maggiore o uguale alla costante di Planck ridotta.
  • Equazione di Dirac

    Equazione di Dirac

    L'equazione di Dirac è l'equazione d'onda che descrive in modo relativisticamente invariante il moto dei fermioni, nell'ambito della cosiddetta meccanica quantistica relativistica.
    È stata formulata nel tentativo di ovviare agli inconvenienti generati dall'equazione di Klein-Gordon, che presenta una difficoltà nell'interpretazione della funzione d'onda, comprendendo tra le soluzioni densità di probabilità anche negative o nulle, oltre ad ammettere soluzioni ad energia negativa.
  • scoperta del neutrone

    La scoperta del neutrone non si sarebbe potuta realizzare se Bothe e Becker nel 1930 non avessero notato che particelle alfa emesse dal Polonio, incidendo su Berillio, non producevano una radiazione capace di superare 200 mm di Piombo.
    La radiazione doveva essere neutra, perché nessuna particella carica, che avesse avuto a disposizione tutta l'energia prodotta nella reazione, avrebbe potuto superare più di 1 mm di piombo.
  • scoperta del positrone

    I positroni furono scoperti nei raggi cosmici da Carl Anderson nel 1932.
    Patrick Blackett e Giuseppe Occhialini completarono la scoperta l'anno successivo, confermando la previsione teorica dell'esistenza di un'antiparticella dell'elettrone, formulata da Paul Dirac qualche anno prima.

Plan projects on a visual timeline

Map milestones, phases, deadlines, and key events in one place so the sequence is easier to see and share. Timetoast is a timeline maker for work, school, research, and stories.