Descarga

Origen y evolución de los componentes del universo

  • Teoría de Dalton

    Teoría de Dalton

    Esta teoría, ya dicha por Leucipo y Demócrito, tiene 3 postulados:
    1. Los elementos están formados por partículas diminutas e indivisibles, llamadas átomos, que no se alteran en los cambios químicos.
    2. Los átomos de un mismo elemento son todos iguales entre sí en masa, tamaño, etc., los de elementos distintos tienen distinta masa y propiedades.
    3. Los compuestos se forman por la unión de átomos de los elementos según una relación numérica sencilla y constante.
    Ninguno es cierto del todo.
  • Errores de la teoría

    1. Los átomos son indivisibles. Se pueden descomponer en partículas subatómicas como protones, neutrones o electrones.
    2. Los átomos son invariables. Solo es así en las reacciones corrientes, pero los átomos pueden cambiar cuando se trata de química nuclear. Puede variar por la presencia de isótopos.
    3. El peso de un átomo permanece constante.
  • Electrón

    Electrón

    El experimento de Thomson con tubos de rayos catódicos mostraron que todos los átomos contienen pequeñas partículas subatómicas con carga negativa, llamadas electrones. Estos estaban balanceados eléctricamente por algo desconocido que producía un campo eléctrico de carga positiva, de cantidad igual a las cargas negativas.
  • Hipótesis de Plan - la radiación del cuerpo negro

    Hipótesis de Plan - la radiación del cuerpo negro

    Esta teoría dice que la energía se radia en unidades pequeñas separadas, cuantos. La ley de Planck establece que la energía de cada cuanto es igual a la frecuencia de la radiación multiplicada por la constante universal. Los descubrimientos de Planck fueron verificados por otros científicos posteriormente, y son el nacimiento de la nueva física, la física cuántica.
  • Modelo de Thomson

    Modelo de Thomson

    El modelo de Thomson, o también conocido como "púdin" de pasas, fue el primer modelo atómico desarrollado, que además contaba con evidencias. Una esfera maciza de masa positiva, en la que estaban incrustados los electrones con carga negativa.
  • Errores del modelo de Thomson

    Errores del modelo de Thomson

    El principal error de Thomson fue que pensó que la carga positiva ocupaba todo el espacio del átomo.
    Este modelo no puedo explicar cómo se mantiene la carga en los electrones dentro del átomo y tampoco su estabilidad. Además, no menciona nada sobre el núcleo del átomo.
  • Modelo atómico de Rutherford

    Modelo atómico de Rutherford

    El átomo tiene un núcleo central en el que están concentradas la carga positiva y casi toda la masa. La carga positiva de los protones se compensa con la carga negativa de los electrones, que se hallan girando alrededor del núcleo y separados por una gran distancia.
  • Errores del modelo de Rutherford

    Errores del modelo de Rutherford

    En el modelo de Rutherford, el átomo sería inestable, porque según la física clásica, una carga en movimiento emite continuamente energía. De esta forma, los electrones emitirían energía sin parar hasta acabar en el núcleo provocando la destrucción del átomo.
    Además, el modelo no podía explicar las líneas que se obtenían al hacer emitir o absorber radiaciones de los átomos.
  • Modelo atómico de Niels Bohr

    Modelo atómico de Niels Bohr

    También llamado, "modelo planetario", en este modelo los electrones están dispuestos en órbitas circulares concéntricas alrededor del núcleo. Los electrones sólo pueden ocupar ciertas órbitas circulares, están organizados en capas y, en cada capa tendrán una cierta energía. Además, las capas se llenan siempre de menor a mayor energía (primero capas inferiores y después las superiores).
  • Errores del modelo de Bohr

    El modelo ni explica ni da razones por las que los electrones tengan que estar limitados a órbitas específicas. Asume que los e⁻ tienen un radio y una órbita que se conocen; esto fue desmentido por el principio de incertidumbre de Heisenberg.
    Tampoco puede explicar el efecto Zeeman (se puede ver cuando las líneas espectrales se dividen en presencia de un campo magnético externo y estático).
    Y el último es, que nos da un valor erróneo para el momento angular de la órbita del estado fundamental.
  • Protón

    Protón

    Parte elemental del núcleo de los átomos. Tiene carga positiva y una masa casi dos mil veces mayor que la del electrón.
    Fue descubierto por Goldstein, pero fue el experimento de Rutherford el que demostró su existencia.
    Al disparar partículas alfa contra el gas nitrógeno, Rutherford notó que sus instrumentos detectaban la presencia de iones de hidrógeno.
  • Principio de incertidumbre de Heisenberg

    Este principio dice que al solo observar una partícula subatómica, como un electrón, alterará su estado. Esto impide que sepamos con exactitud dónde se encuentra y cómo se mueve. Cuando tenemos mayor seguridad de dónde se encuentra un electrón, más distante se encuentra y más complejo es su movimiento, la influencia perturbadora del observador. La teoría también puede aplicarse al mundo macroscópico para entender lo inesperada que puede ser nuestra realidad.
  • Dualidad onda-corpúsculo

    Dualidad onda-corpúsculo

    Luis de Broglie en su hipótesis propopuso que los electrones (y la materia en general) poseen tanto propiedades ondulatorias como corpusculares, comportándose de un modo u otro según el experimento específico. Esta hipótesis fue demostrada empíricamente por Thomson. Antes, en 1905, la ley del efecto fotoeléctrico de Einstein, ya planteaba que la luz no era una onda o una partícula, sino ambas.
  • Exclusión de Pauli

    Exclusión de Pauli

    Establece que no puede haber dos electrones con todos los números cuánticos iguales. Este principio se aplica solo a dos fermiones, partículas que generan estados cuánticos antisimétricos con un spin semi-entero. Los fermiones pueden ser los neutrones, electrones o protones.
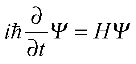
  • Ecuación de Schrödinger

    Ecuación de Schrödinger

    Se trata se una ecuación de onda en términos de la función de onda, que predice analíticamente y con precisión, la probabilidad de eventos o resultados de un sistema dinámico. Schrödinger derivó una ecuación de ondas desde el principio variacional de Hamilton inspirándose en la analogíia existente entre Mecánica y la Óptica.
  • Principio de multiplicación de Hund

    Principio de multiplicación de Hund

    Cuando los electrones se ordenan en los orbitales su ubicación siempre será paralela, es decir, lo más desapareados posible.
  • Neutrón

    Neutrón

    Fue predicho teóricamente en 1920 por Rutherford, recibió el nombre de "neutrón" de William Draper Harkins en 1921. En 1932 fue descubierto y documentado por James Chadwick, al bombardear una lámina de berilio con partículas alfa. Se observó la emisión por parte del metal de una radiación de muy alta energía, similar a los rayos gamma. Esa radiación estaba formada por partículas neutras (no responden a los campos eléctricos) de masa algo superior a la de los protones.

Want to make a timeline like this?

Use Timetoast to turn dates, events, milestones, and phases into a clear visual timeline you can build and share. Timetoast is a timeline maker for work, school, research, and stories.