Descarga

OPERACIONES ENTRE MATRICES

  • Definición De Matrices

    Definición De Matrices

    Es un conjunto de elementos, números ordenados en filas y columnas.
    Para designar una matriz se emplean letras mayúsculas. Cada uno de los elementos de la matriz (aij) tiene dos subíndices. El primero i indica la fila a la que pertenece y el segundo j la columna. columnas.
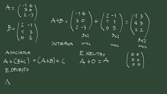
  • Suma De Matrices

    Suma De Matrices

    La suma de matrices es la operación de combinar dos o más matrices en una matriz equivalente.
    Esta suma sólo se puede efectuar entre matrices con la misma dimensión, es decir, las que tienen el mismo número de filas y el mismo número de columnas. La matriz resultante tiene las mismas dimensiones, cada uno de cuyos elementos es la suma aritmética de los elementos en las posiciones correspondientes en las matrices originales.
  • Resta  De Matrices

    Resta De Matrices

    La resta de matrices es la operación de combinar dos o más matrices en una matriz equivalente.
    Esta resta sólo se puede efectuar entre matrices con la misma dimensión, es decir, las que tienen el mismo número de filas y el mismo número de columnas. La matriz resultante tiene las mismas dimensiones, cada uno de cuyos elementos es la resta aritmética de los elementos en las posiciones correspondientes en las matrices originales.
  • Multiplicación De Matrices

    Multiplicación De Matrices

    Dos matrices A y B son multiplicables si el número de columnas de A coincide con el número de filas de B.
    El elemento cij de la matriz producto se obtiene multiplicando cada elemento de la fila i de la matriz A por cada elemento de la columna j de la matriz B y sumándolos.
  • Importancia De Las Matrices

    Importancia De Las Matrices

    Se utilizan ampliamente en la solución de problemas matemáticos, en el cálculo numérico, en la resolución de sistemas de ecuaciones lineales, de las ecuaciones diferenciales y de las derivadas parciales. Además de su utilidad para el estudio de sistemas de ecuaciones lineales, las matrices aparecen de forma natural en geometría, estadística, economía, informática, física, etc... La teoría matrices es ampliamente utilizada en la informática y bibliotecas gráficas.
  • Avance De Las Matrices

    Avance De Las Matrices

    El avance de matrices constituye actualmente una parte esencial de los lenguajes de programación, ya que la mayoría de los datos se introducen en los ordenadores como tablas organizadas en filas y columnas: hojas de cálculo, bases de datos, en el estudio de las cónicas.
    Por ejemplo, calcular el valor n-ésimo (para un “n” muy grande) de la serie de Fibonacci es impráctico por algoritmos recursivos, e iterativos.

A list shows items. A timeline shows sequence.

Use Timetoast to make dates, milestones, and turning points easier to understand in a clear visual format. Timetoast is a timeline maker for work, school, research, and stories.