- 
  
  Los físicos Carl Anderson y Seth Neddermeyer descubren la existencia de una partícula que se curvaba al pasar por un campo electromagnético a la cual denominaron mesotrón
- 
  
  Composición Partícula elemental
 Familia: Fermión
 Grupo: Leptón
 Generación: Segunda
 Interacción: Gravedad, Electromagnetismo, Interacción débil
 Símbolo: (µ−)
 Antipartícula: Antimuón (µ+)
 Masa 105,658369(9) MeV/c2
 Vida media 2.19703(4) × 10−6 s
 Carga eléctrica −1 e
 Carga de color Neutra
 Espín: 1/2
- 
  
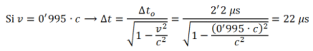
  En el experimento llevado a cabo por Rossi y Hall, se registraron un promedio de 563 muones/hora a una altura de 2.000 metros, y se detectaron unos 400 muones/hora a nivel del mar. Teniendo en cuenta el tiempo de vida media y la velocidad de los muones se esperaban unos 25 muones/hora en la superficie terrestre. El fenómeno de la dilatación del tiempo explica este efecto.
- 
  
  Se detecta el pión o mesón-p por primera vez en la radiación cósmica que llega a la Tierra
- 
  
  Se codifica el modelo estándar de partículas, en el cual los mesones pasan a ser hadrones, partículas compuestas por Quarks (Imágen adjunta)
- 
  
  Se logra confirmar la existencia del muon al ser detectados mediante la cámara de niebla (En la imagen adjunta se muestra la elaboración casera de una cámara de niebla)
- 
  
  Es un mesón que sufre una rara desintegración, dicha desintegración da lugar 2 partículas conocidas como muones
- 
  
  La estructura interna de una pirámide ha sido revelada mediante el análisis de muones. La radiografía de muones ha sido realizada con éxito en la Pirámide Acodada de Dahshur, al sur de El Cairo, presenta una doble pendiente en cada una de sus caras.
