Coleccion iconos cientificos 23 2147504869

Modelos Atómicos

  • Definición
    399

    Definición

    El modelo atómico es una representación estructural de un átomo que trata de explicar su comportamiento y propiedades.
  • Modelo atómico de Demócrito (400 a. C.)
    400

    Modelo atómico de Demócrito (400 a. C.)

    Postulado por el filósofo griego Demócrito.
    La teoría atomista de Demócrito y Leucipo se puede esquematizar así:
    - Los átomos son eternos, indivisibles, homogéneos, indestructibles, e invisibles.
    - Los átomos se diferencian solo en forma y tamaño, pero no por cualidades internas.
    - Las propiedades de la materia varían según el agrupamiento de los átomos.
    Fuente: Wikipedia
  • Modelo atómico de Dalton,1803-1804

    Modelo atómico de Dalton,1803-1804

    Fue el primer modelo atómico con bases científicas.
    Postulados:
    La materia está formada por partículas muy pequeñas llamadas átomos, que son indivisibles y no se pueden destruir.
    Los átomos de un mismo elemento son iguales entre sí, tienen la misma masa e iguales propiedades. Los átomos de diferentes elementos tienen masa diferente. https://es.wikipedia.org/wiki/Modelo_at%C3%B3mico_de_Dalton Fuente: Wikipedia
  • Modelo Atómico de Perrin, 1895

    Modelo Atómico de Perrin, 1895

    El modelo atómico de Perrin comparó la estructura del átomo con un sistema solar, en el cual los planetas serían las cargas negativas y el Sol sería una carga positiva concentrada en el centro del átomo.
    Este modelo fue complementado y perfeccionado posteriormente por Ernest Rutherford.
    El modelo fue tomado como base por el físico danés Niels Bohr para proponer su modelo en 1913. Fuente: https://www.lifeder.com/modelo-atomico-perrin/
  • Period: to

    Modelo atómico de Thomson, 1904

    Modelo del pudín, los electrones son como las "frutas" dentro de la "masa" positiva"
    En el modelo, el átomo está compuesto por electrones de carga negativa en un átomo positivo, incrustados en este al igual que las pasas de un pudín (o budín). https://es.wikipedia.org/wiki/Modelo_at%C3%B3mico_de_Thomson Fuente: Wikipedia
  • Modelo del átomo cúbico, Lewis, 1902

    Modelo del átomo cúbico, Lewis, 1902

    Fue de los primeros modelos atómicos, en el que los electrones del átomo estaban situados en los ocho vértices de un cubo.
    Sirvió para darse cuenta del fenómeno de la valencia. Se basa en la regla de Abegg.
    Fuente: https://es.wikipedia.org/wiki/Modelo_del_%C3%A1tomo_c%C3%BAbico
    https://www.areaciencias.com/quimica/modelos-atomicos.html
  • Modelo atómico de Thomson, 1904

    Modelo atómico de Thomson, 1904

    ​Postulaba que los electrones se distribuían uniformemente en el interior del átomo, suspendidos en una nube de carga positiva. El átomo se consideraba como una esfera con carga positiva con electrones repartidos como pequeños gránulos. La herramienta principal con la que contó Thomson para su modelo atómico fue la electricidad.
    Fuente: Wikipedia
  • Modelo atómico de Rutherford, 1911

    Modelo atómico de Rutherford, 1911

    El primero que distingue entre el núcleo central y una nube de electrones a su alrededor.
    Conclusión de que la masa del átomo se concentraba en una región pequeña de cargas positivas que impedían el paso de las partículas alfa.
    Fuente: Wikipedia
    https://es.wikipedia.org/wiki/Modelo_at%C3%B3mico_de_Rutherford
    https://www.areaciencias.com/quimica/modelos-atomicos.html
  • Modelo atómico de Bohr, 1913

    Modelo atómico de Bohr, 1913

    Primer modelo atómico en el que se introduce una cuantización a partir de ciertos postulados.
    Los electrones al girar entorno al núcleo definían unas órbitas circulares estables que Bohr explicó como que los electrones se pasaban de unas órbitas a otras para ganar o perder energía. Fuente: Wikipedia
    https://es.wikipedia.org/wiki/Modelo_at%C3%B3mico_de_Bohr
    https://www.areaciencias.com/quimica/modelos-atomicos.html
  • Modelo atómico de Sommerfeld, 1913

    Modelo atómico de Sommerfeld, 1913

    Es una generalización relativista del modelo atómico de Bohr.
    Lo que hizo Sommerfeld fue perfeccionar el modelo de Bohr con las órbitas elípticas lo que dio lugar al descubrimiento del numero cuántico Azimutal (o secundario).
    Fuente: https://es.wikipedia.org/wiki/Modelo_at%C3%B3mico_de_Sommerfeld
    https://www.areaciencias.com/quimica/modelos-atomicos.html
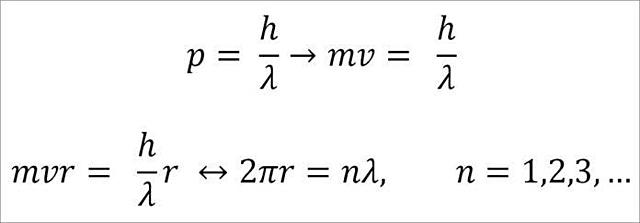
  • Modelo Atómico de Broglie, 1924

    Modelo Atómico de Broglie, 1924

    Broglie aseveró la dualidad onda-partícula de los electrones, sentando las bases de la mecánica ondulatoria.
    Para desarrollar su propuesta, Broglie partió del principio de que los electrones tenían una naturaleza dual entre onda y partícula, similar a la luz.
    Fuente: https://www.lifeder.com/modelo-atomico-broglie/
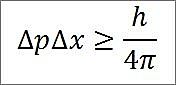
  • Modelo atómico de Heisenberg (1925)

    Modelo atómico de Heisenberg (1925)

    Introduce el principio de incertidumbre en los orbitales de electrones que rodean el núcleo atómico. El destacado físico alemán instauró los cimientos de la mecánica cuántica para estimar el comportamiento de las partículas subatómicas que conforman un átomo. Fuente: https://www.lifeder.com/modelo-atomico-heisenberg/
  • Modelo atómico de Schrödinger, 1926

    Modelo atómico de Schrödinger, 1926

    Es un modelo cuántico no relativista. En este modelo los electrones se contemplaban originalmente como una onda estacionaria de materia cuya amplitud decaía rápidamente al sobrepasar el radio atómico.
    Describió la evolución del electrón alrededor del núcleo mediante ecuaciones matemáticas, pero no su posición. Fuente:https://es.wikipedia.org/wiki/Modelo_at%C3%B3mico_de_Schr%C3%B6dinger
    https://www.areaciencias.com/quimica/modelos-atomicos.html
  • Modelo atómico de Dirac Jordan, 1927

    Modelo atómico de Dirac Jordan, 1927

    El modelo atómico es la generalización relativista del operador hamiltoniano en la ecuación que describe la función de onda cuántica del electrón. A diferencia del modelo precedente, el de Schrodinger, no es necesario imponer el espín mediante el principio de exclusión de Pauli, ya que aparece de forma natural.
    Fuente: https://www.lifeder.com/modelo-atomico-dirac-jordan/#El_atomo_de_Dirac-Jordan
    https://sites.google.com/site/cinthyalizbethhdz18/quimica/modelo-atomico-de-dirac-jordan
  • Modelo atómico James Chadwick, 1932

    Modelo atómico James Chadwick, 1932

    Fue un destacado físico inglés reconocido por el descubrimiento del neutrón en 1932.
    Se centra en la modelación del núcleo atómico constituido no solo por protones (cargas positivas), sino también por neutrones (cargas neutras).
    Fuente: https://www.lifeder.com/aportaciones-james-chadwick/
  • Period: to

    Modelos Atómicos Posteriores, 1960 - 1970

    Tras el establecimiento de la ecuación de Dirac, la teoría cuántica evolucionó hasta convertirse propiamente en una teoría cuántica de campos. Los modelos surgidos a partir de los años 1960 y 1970 permitieron construir teorías de las interacciones de los nucleones.
    Fuente: https://es.wikipedia.org/wiki/%C3%81tomo#Modelos_posteriores

Want to make a timeline like this?

Use Timetoast to turn dates, events, milestones, and phases into a clear visual timeline you can build and share. Timetoast is a timeline maker for work, school, research, and stories.