MODELOS ATOMICOS

  • John Dalton

    John Dalton

    La teoria de John Dalton explica que es la de minúsculas partículas esféricas, indivisibles e inmutables,
    iguales entre sí en cada elemento químico.
  • Thomson

    Thomson

    La teoria de Thomson explica que de este descubrimiento dedujo que el átomo debía de ser una esfera de materia cargada positivamente, en cuyo interior estaban incrustados los electrones.
  • Rutherford

    Rutherford

    La teoria de Rutherford dedujo que el átomo debía estar formado por una corteza con los electrones girando alrededor de un núcleo central cargado positivamente.
  • Bohr

    Bohr

    La teoria de Bohr propuso un nuevo modelo atómico, según el cual los electrones giran alrededor del núcleo en unos niveles bien definidos.
  • Sommerfeld

    Sommerfeld

    La terioa de Sommerfeld le hiso algunas modificaciones a la teria de Bohr la primera fue los electrones se mueven alrededor del núcleo en orbitascirculares o elípticas, la segunda fue a partir del segundo nivel energético existen dos o más subniveles en elmismo nivel y la tercera fue el electrón una corriente.
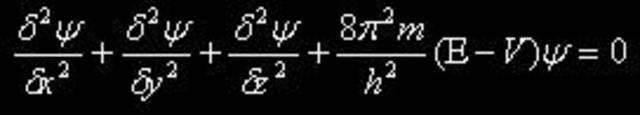
  • Schrödinger

    Schrödinger

    El modelo atómico de Schrödinger definía al principio los electrones como ondas de materia, describiendo de este modo la ecuación ondulatoria que explicaba el desarrollo en el tiempo y el espacio de la onda material en cuestión.

Looking for a timeline maker?

Create timelines for projects, roadmaps, history, lessons, legal cases, and stories with Timetoast. Timetoast is a timeline maker for work, school, research, and stories.