3940

Metabolismo de la hemoglobina

  • Mitocondria
    1 CE

    Mitocondria

    Glicina ALA sintasa + succinil CoA produce ALA
  • Citosol
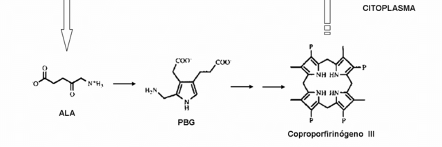
    3

    Citosol

    Se dan una serie de reacciones que van desde ALA hasta coproporfirinógneo III que con la ayuda de la protoporfirinógeno oxidasa se convierte en Protoporfirinógeno IX
  • Protoporfirinógeno IX a Hemo
    5

    Protoporfirinógeno IX a Hemo

    La protoporfirinógeno oxidasa convierte al protoporfirinógeno IX en protoporfirina IX que al reaccionar con la ferroquelasa y unirse al Fe+2 se convierte en Hemo.
  • Ribosomas
    7

    Ribosomas

    Las globinas formadas en los ribosomas, se unen dependiendo del tipo de hemoglobina a formar pueden haber alfa, beta, gama, delta. Para la hemoglobina normal del adulto se necesitan una cadena alfa y una no alfa.
  • Formación de la hemoglobina
    9

    Formación de la hemoglobina

    Después de la unión de las cadenas de globina. Se forman dímeros, se deben de unir dos dímeros. Dos cadenas alfa y dos no alfa. En el centro de cada globina se coloca un grupo hemo anteriormente formado.

Want to make a timeline like this?

Use Timetoast to turn dates, events, milestones, and phases into a clear visual timeline you can build and share. Timetoast is a timeline maker for work, school, research, and stories.