Antibioticos

"Descubrimiento de los antibióticos:estructura y función"

By Claus26
  • Penicilina

    Penicilina

    Es una molécula en la cual se encuentran los siguientes grupos funcionales en su estructura: Ácido carboxílico, amida y sulfuro. La penicilina es un antibiótico que fue descubierto por Alexander Fleming, el cual inhibe el crecimiento de Streptococcus aureus, Streptococcus pneumoniae, Neisseria meningitidis Neisseria gonorrhoeae entre otros microorganismos.
  • Prontosil

    Prontosil

    Es un antibiótico que en su estructura podemos encontrar los siguientes grupos funcionales: Amina e imina. Fue descubierto por Gerhard quien demostró que el prontosil inyectado curaba infecciones estreptocóccicas sistémicas
  • Gramicidina

    Gramicidina

    La gramicidina en su molécula contiene solamente al grupo amida. Fue descubierta por René Dubós; debido a que era muy tóxica para administrarse por vía sistemática fue un agente de uso tópico.
  • Estreptomicina

    Estreptomicina

    En su estructura están los siguientes grupos funcionales: Alcohol, amina y éter. Ron Waksman fue quien lo descubrió, es un antibiótico de alta potencia sobre microorganismos gram negativos y con actividad anti-Mycobacterium.
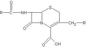
  • Cefalosporinas

    Cefalosporinas

    Contiene los siguientes grupos funcionales: Ácido carboxílico, amina, amida, cetona y sulfuro. Fue descubierto por Giuseppe Brotsu y es un antibiótico que es administrado por vía oral.
  • Cloranfenicol

    Cloranfenicol

    Este antibiótico contiene tres grupos funcionales: Alcohol, amida y nitro. Fue descubierto por Yale Paúl Burkholder. Es útil para el tratamiento de enfermedades producidas por Rickettsias que inhibían el crecimiento de bacterias gram positivas y negativas; sin embargo la toxicidad se reconoció muy precozmente y esto limito enormemente su uso y difusión.
  • Clortetraciclina

    Clortetraciclina

    Este compuesto contiene al grupo funcional alcohol, amina y cetona. Fue descubierto por Benjamín Duggar. Es un antibiótico de coloración dorada de amplio espectro, el cual tenia menor toxicidad que el cloranfenicol.
  • Eritromicina

    Eritromicina

    Esta molécula contiene a los grupos funcionales que a continuación se mencionan: Alcohol, amina, cetona, éster y éter. Fue descubierta por Mc Guire y colaboradores. Es una polohidroxicetolactona que ha sido utilizado con éxito en el tratamiento de varias infecciones bacterianas, su espectro abarca fundamentalmente bacterias gram positivas y algunas gram negativas e incluye actinomicetos, treponemas, micoplasmas, clamidias y rickettsias.
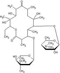
  • Vancomicina

    Vancomicina

    Este antibiótico contiene cinco grupos funcionales los cuales son: ácido carboxílico, alcohol, amida, amina y éter. Fue descubierto por Mc Cormick. Es una alternativa a los antibióticos beta-lactámicos en el tratamiento de infecciones graves producidas por microorganismos gram positivos.
  • Rifampicina

    Rifampicina

    En esta molécula podemos encontrar los grupos funcionales siguientes: Alcohol, amida, amina, cetona, éster y éter. Fue descubierto por Oppolzer y colaboradores. Este antibiótico era usado por vía parenteral en el tratamiento de Mycobacterium.
  • Gentamicina

    Gentamicina

    Encontramos los grupos funcionales alcohol, amina y éter. Este antibiótico fue descubierto por Weistein y colaboradores. Se usa para el tratamiento de infecciones producidas por bacterias gram negativas como Pseudomona aeruginosa, Klebsiella pneumoniae o Proteus mirabilis.

A list shows items. A timeline shows sequence.

Use Timetoast to make dates, milestones, and turning points easier to understand in a clear visual format. Timetoast is a timeline maker for work, school, research, and stories.