La quimica organica hasta nuestros dias

  • 1 CE

    Inicio

    La conversion de la grasa animal en jabon
  • Siglo XIX

    Surge la teoría atómica de Dalton, separación en dos ramas de la química
  • Berzelius

    El estudio de los compuestos derivados de seres vivos y con la necesidad de tener una "fuerza vital" para crearse
  • Chevreul

    Descubre que el jabón se podía separar en ácidos grasos (una sustancia orgánica puede convertirse en ácidos grasos y glicerina)
  • Wohler

    Sintetiza la urea por calentamiento y evaporación de una disolución de cianato amónico
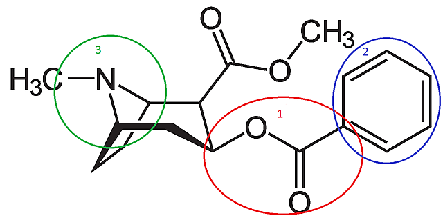
  • Cocaina

    Cocaina

    Grupos funcionales:
    1; Ester
    2; Areno
    3; Amina
    Se usa como estimulante, pero solo es permitido en bajas cantidades
  • Couper, Kekule y Butherov

    Proponen la tetravalencia del carbono y su capacidad de formar enlaces
  • Berthelot

    Describe la preparación de sustancias orgánicas por combinación de CO con H2O
  • Kekule

    Propone que los átomos de carbono podían estar enlazados de forma cíclica
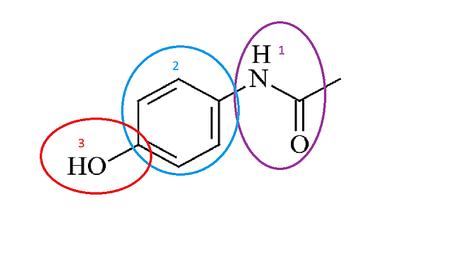
  • Paracetamol

    Paracetamol

    Nombres de grupos funcionales:
    1; Amida
    2; Areno
    3; Alcohol
    Se usa como analgésico para dolores leves o moderados
  • Cisteina

    Cisteina

    Nombre grupos funcionales:
    1; Acido carboxílico
    2; Mercaptano
    3; Amina
    Es un desintoxicante que se encuentra en nuestro organismo
  • Kossel

    Plantea que un electrón puede ser transferido de un átomo a otro
  • Penicilina

    Penicilina

    Nombres grupos funcionales
    1;Areno
    2;Sulfuro
    3;Amida
    Aunque ya no tiene un uso directo existen muchos medicamentos derivados de este
  • Robinson

    Sugiere que los cambios químicos ocurren por las posiciones de los electrones en la formación y ruptura de los enlaces covalentes
  • Diclofenaco

    Diclofenaco

    Nombres grupos funcionales:
    1; Acido carboxílico
    2; Areno
    3; Haluro
    Se usa como tratamiento para dolores no tan intensos
  • Síntesis asimétrica

    Es una síntesis química que favorece una quiralidad
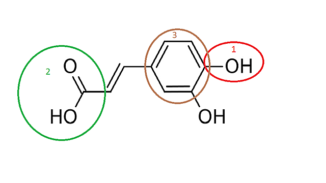
  • Acido cafeico

    Acido cafeico

    Nombres grupos funcionales:
    1; Alcohol
    2; Acido carboxílico
    3; Areno
    Es una molécula que aun no tiene un uso claro, pero investigaciones han mostrado que tiene inhibidores cancerígenos.
  • Importancia

    Esta ciencia tiene mucha importancia ya que con su estudio se encuentran nuevos compuestos o se forman nuevas sustancias para el desarrollo de la humanidad. Pero es un campo tan grande que es imposible abarcarlo de manera independiente.

Looking for a timeline maker?

Create timelines for projects, roadmaps, history, lessons, legal cases, and stories with Timetoast. Timetoast is a timeline maker for work, school, research, and stories.