Descarga

Isaac Newton

  • Nace en Kensington, Inglaterra.

  • Ingresó en el Trinity College, Cambridge.

    Ingresó en el Trinity College, Cambridge.

  • Fabrica su primer telescopio reflector

    Fabrica su primer telescopio reflector

  • Escribe el libro ´´Método de las fluxiones y series infinitas´´.

    Escribe el libro ´´Método de las fluxiones y series infinitas´´.

  • Establece la teoría de la ley gravitacional universal

    Establece la teoría de la ley gravitacional universal

  • Inventa el cañón orbital para probar la ley de la gravitación.

  • Publicó sus ´´Principios matemáticos de la filosofía natural´´.

    Publicó sus ´´Principios matemáticos de la filosofía natural´´.

  • Sufre una crisis psíquica.

  • Creó el Teorema del Binomio

    Creó el Teorema del Binomio

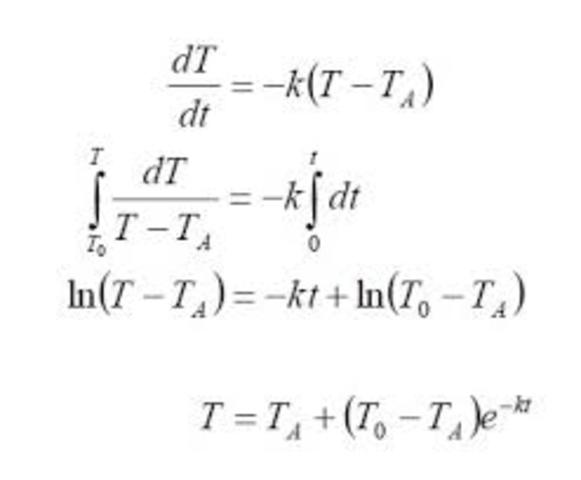
  • Inventa la Teoría sobre el estado de enfriamiento.

    Inventa la Teoría sobre el estado de enfriamiento.

  • Se convierte en presidente de la Royal Society.

    Se convierte en presidente de la Royal Society.

  • Fallece en Kensington, Inglaterra