Think tank

Investigación de operaciones

  • El rayo de calor de Arquímedes
    300 BCE

    El rayo de calor de Arquímedes

    El cual incendió en Siracusa los bajeles romanos de la flota de Marcelo usando los rayos solares. El espejo ustorio es un espejo cóncavo de gran tamaño utilizado para concentrar en su foco los rayos solares o de un cuerpo en combustión y aprovechar con fines bélicos el gran calor que produce.
  • Inventos para la guerra
    1503

    Inventos para la guerra

    Leonardo Davinci participo como ingeniero en la guerra contra Pisa ya que conocía técnicas para realizar bombardeos, construir barcos, vehículos acorazados, cañones, catapultas y otras máquinas bélicas.
  • Valor esperado (Blaise Pascal)

    Valor esperado (Blaise Pascal)

    La idea del valor esperado se originó en la mitad del siglo 17 a partir del estudio del problema de puntos. Este problema es: cómo dividir las apuestas de una manera justa entre dos jugadores que tienen que poner fin a su juego antes de que haya finalizado correctamente?
  • Método de Newton

    Método de Newton

    En análisis numérico, el método de Newton (conocido también como el método de Newton-Raphson o el método de Newton-Fourier) es un algoritmo eficiente para encontrar aproximaciones de los ceros o raíces de una función real.
  • Teorema de Bayes

    Teorema de Bayes

    El teorema de Bayes es de enorme importancia puesto que vincula la probabilidad de un evento aleatorio A dado B con la probabilidad de B dado A.
  • Solución de ecuaciones lineales (Carl Friedrich Gauss)

    Solución de ecuaciones lineales (Carl Friedrich Gauss)

    Usa operaciones elementales de fila (eliminación) para transformar un cuadrado (n x n) de la matriz A, asociada con un conjunto de ecuaciones lineales, en una matriz triangular superior U. Una vez logrado esto, es una cuestión simple para resolver variable y luego, por sucesivos sustitución regresiva, para resolver las otras variables de sumas y restas.
  • Manejo científico

    Manejo científico

    Taylor presentó su método de estudio seminal vez en 1881, mientras trabajaba como capataz general de la planta para la Midvale Steel Company. Él estaba interesado en la determinación de las respuestas a las preguntas entrelazadas de "¿Cuál es la mejor manera de hacer un trabajo?" Y "¿Qué constituye un trabajo de un día sexto? Como consultor, aplicó sus principios de gestión científica a un conjunto diverso de industrias.
  • Henry Gantt

    Henry Gantt

    Ideó un método de planificación del proyecto por el cual los administradores podrían representar, por una secuencia de barras en un gráfico, pasos interrelacionados de un proyecto, programa de relaciones de precedencia entre los pasos, indicar los horarios de finalización, y el seguimiento del rendimiento real
  • Albert Percival Rowe

    Albert Percival Rowe

    Desarrolla el primer estudio de investigación de operaciones con el objetivo de encontrar políticas optimas en un sistema de detección militar en radiogoniometría
  • Patrick M.S. Blackett

    Patrick M.S. Blackett

    Primer grupo de trabajo creado para el estudio del sistema de defensa antiaéreo gobernado por radar
  • Modelos de transporte

    Modelos de transporte

    Su objetivo es determinar la cantidad de productos o mercancías que se deben enviar desde cualquier grupo de centros de abastecimiento llamados orígenes, a cualquier grupo de centros de recepción llamados destinos, teniendo en cuenta las restricciones propias del problema referidas a las disponibilidades de los centros de abastecimiento y las demandas de los centros de destino, de manera que se minimicen los costes totales de transporte o distribución.
  • U.S.A

    U.S.A

    Crea grupos de investigación de operaciones en los 3 ejércitos
  • RAND Corporation

    RAND Corporation

    Creada por Douglas Aircraft Company para ofrecer servicios de investigación y análisis a las Fuerzas Armadas de los Estados Unidos
  • Proyecto SCOOP y Algoritmo SIMPLEX

    Proyecto SCOOP y Algoritmo SIMPLEX

    El proyecto surge como medida bélica en la Segunda Guerra Mundial, adelantándose a la Unión Soviética.
    El algoritmo es desarrollado por George Dantzig siendo un conjunto de métodos muy usados para resolver problemas de programación lineal
  • Primeros Cursos en MIT

    Primeros Cursos en MIT

    Se empiezan a formar distintos grupos de científicos e ingenieros de las universidades del país para trabajar en IO
  • Primer ciclo de conferencias "University College of London"

    Primer ciclo de conferencias "University College of London"

    La investigación operativa tarda en desarrollarse en el campo de la administración industrial. El uso de la metodología científica en la industria se incorpora al principio de los años 50, a partir de la 2da revolución industrial.
  • la primera conferencia sobre la Investigación Operativa en la Industria

    la primera conferencia sobre la Investigación Operativa en la Industria

    Tuvo lugar en el Case Institute of Technology de Cleveland fue casi imposible encontrar aplicaciones industriales de carácter no militar.
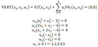
    Se abordaron las condiciones de Karush-Kuhn-Tucker las cuales son requerimientos necesarios y suficientes para que la solución de un problema de programación matemática sea óptima
  • Primeros doctorados en IO case Ing. of Technology

    Primeros doctorados en IO case Ing. of Technology

  • Búsqueda tabú (Glover)

    Búsqueda tabú (Glover)

    Es un algoritmo metaheurístico que puede utilizarse para resolver problemas de optimización combinatoria, tales como el problema del viajante
  • Teoria de los esquemas (Rumelhart y Norman)

    Teoria de los esquemas (Rumelhart y Norman)

    Pretende explicar como el conocimiento previo de las personas afecta la comprensión. Los esquemas están constituidos por conceptos que proporcionan “ranuras” para ser “rellenadas” con información específica.
  • Algoritmo de recocido simulado (Kirkpatrick, Gelatt, Vecchi)

    Algoritmo de recocido simulado (Kirkpatrick, Gelatt, Vecchi)

    Es un algoritmo de búsqueda metaheurística para problemas de optimización global; el objetivo general de este tipo de algoritmos es encontrar una buena aproximación al valor óptimo de una función en un espacio de búsqueda grande.
  • Método de Karmakar

    Método de Karmakar

    Marcó un hito en la Optimización Lineal, OL, también conocida como Programación Lineal. Es un algoritmo de tiempo polinomial, mientras que el simplex no goza de esta propiedad, sino que es de tiempo exponencial
  • Ministerio holandés de Infraestructura y Medio Ambiente

    Ministerio holandés de Infraestructura y Medio Ambiente

    Desarrollo de la política nacional de administración del agua, incluyendo mezcla de nuevas instalaciones, procedimientos de operaciones y costes
  • Citgo petroleum corporation

    Citgo petroleum corporation

    Optimización de las operaciones de refinación y de la oferta, distribución y comercialización de productos
  • Santos LTD

    Santos LTD

    Optimización de inversiones de capital para producir gas natural durante 25 años en Australia
  • Electric Power Research Institute

    Electric Power Research Institute

    Administración de inventarios de petróleo y carbón para el servicio eléctrico con el fin de equilibrar los costos de inventario y los riesgos de déficit
  • San Francisco Police Department

    San Francisco Police Department

    Optimización de la programación y asignación de oficiales de patrulla con un sistema informatizado
  • IBM

    IBM

    Integración de una red nacional de inventario de recambios para mejorar el apoyo al servicio
  • U.S. Military Airlift Command

    U.S. Military Airlift Command

    Rapidez en la coordinación de aviones, tripulación, carga y pasajeros para manejar la evacuación por aire en el proyecto "Tormenta del Desierto" en el Medio Oriente
  • AT&T

    AT&T

    Desarrollo de un sistema informático en el diseño del centro de llamadas para guiar a los clientes del negocio
  • China

    China

    Selección y programación óptima de proyectos masivos para cumplir con las necesidades futuras de energía del país
  • Digital Equipment Corp.

    Digital Equipment Corp.

    Reestructuración de toda la cadena de suministros entre proveedores, plantas, centros de distribución, sitios potenciales y áreas de mercado
  • Procter & Gamble

    Procter & Gamble

    Rediseño del sistema de producción y distribución norteamericano para reducir costos y mejorar la rapidez de llegada al mercado
  • Taco Bell

    Taco Bell

    Programación óptima de empleados para proporcionar el servicio a clientes deseado con un costo mínimo
  • Hewlett-Packard

    Hewlett-Packard

    Rediseño de tamaño y localización de inventarios de seguridad en la línea de producción de impresoras para cumplir metas de producción
  • Sociedad Mexicana de investigación de operaciones

    Sociedad Mexicana de investigación de operaciones

    Su constitución se llevó a cabo en el Palacio de Minería de la UNAM en la ciudad de México.

Want to make a timeline like this?

Use Timetoast to turn dates, events, milestones, and phases into a clear visual timeline you can build and share. Timetoast is a timeline maker for work, school, research, and stories.