Captura

HISTORIA MECÁNICA CUÁNTICA

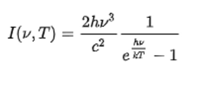
  • Max Planck

    Max Planck

    Descubrió una constante fundamental, la denominada constante de Planck, usada para calcular la energía de un fotón. Esto significa que la radiación no puede ser emitida ni absorbida de forma continua, sino solo en determinados momentos y pequeñas cantidades denominadas cuantos o fotones.
  • Niels Bohr

    Niels Bohr

    1913
    Niels Bohr, publica su modelo atómico manejando la teoría de las órbitas cuantificadas, que en la teoría mecánica cuántica consiste en las características que,en torno al núcleo atómico, el número de electrones en cada órbita aumenta desde el interior hacia el exterior.
  • Louis De Broglie

    Louis De Broglie

    La dualidad onda-corpúsculo, también llamada dualidad onda-partícula es un fenómeno cuántico, bien comprobado empíricamente, por el cual muchas partículas pueden exhibir comportamientos típicos de ondas en unos experimentos mientras aparecen como partículas compactas y localizadas en otros experimentos
  • Wolfang Pauli

    Wolfang Pauli

    Dos electrones en un átomo no pueden tener idéntico número cuántico.
    Wolfang Pauli, formula el principio de exclusión.
  • Erwin Scrödinger

    Erwin Scrödinger

    (1926) es un modelo cuántico no relativista. En este modelo los electrones se contemplaban originalmente como una onda estacionaria de materia cuya amplitud decaía rápidamente al sobrepasar el radio atómico y donde la zona deprobabilidad de encontrar un electrón se llama orbital.
  • Werner Heisenberg

    Werner Heisenberg

    Partícula y en el principio de incertidumbre de Heisenberg que nos dice que es imposible determinar la velocidad y la posición de un electrón al mismo tiempo en un instante determinado.
  • Paul Dirac

    Paul Dirac

    El modelo atómico de Dirac Jordan nace con una base muy parecida al modelo de Schrödinger. Sin embargo, el modelo de Dirac introduce como novedad la incorporación de manera natural del espín del electrón, así como la revisión y corrección de ciertas teorías relativistas.
  • Douglas Hartree

    Douglas Hartree

    En la Universidad de Cambridge , introdujo el esquema de aproximación de campo auto consistente que es la base para la mayoría de los cálculos atómicos y para la comprensión física predominante de la Mecánica de ondas de los átomos
  • Vladimir Fock

    Vladimir Fock

    El método de aproximación de Hartree-Fock para la determinación de la función de onda en problemas de muchos cuerpos o el espacio de Fock utilizado para describir estados cuánticos en situaciones en las que el número de partículas no es fijo, se reconocen como contribuciones fundamentales a la física cuántica
  • Erich Hückel

    Erich Hückel

    En 1937 desarrolló la Teoría de Orbitales Moleculares, generados a partir de la combinación de orbitales atómicos. Aunque existen varias teorías acerca de los orbitales moleculares la de Erich Hückel determino la más acertada de ellas, ya que su método entra más en detalle con respecto a los orbitales y el tipo de estos, con lo cual creo varias expresiones para determinar la función de onda, los coeficientes atómicos entre otras, las cuales se plantearan en este ensayo.
  • Linus Pauling

    Las contribuciones de Pauling fueron sumamente útiles para explicar la organización orbital de los electrones de los átomos, así como también desarrollar el conocimiento sobre los enlaces iónicos, en los que se transfieren los electrones desde un átomo hacia otro.
  • Walter Kohn

    Walter Kohn

    Formuló la teoría de la funcional densidad que permite averiguar la geometría de las moléculas y sus propiedades de enlace. Demostró que a fin de obtener de forma teórica la geometría de una molécula más o menos compleja no es necesario considerar el movimiento de cada electrón de forma individual
  • Roald Hoffmann

    Roald Hoffmann

    Hoffman ha investigado las sustancias orgánicas e inorgánicas, desarrollando herramientas computacionales, así como métodos como el método Hückel extendido, el cual propuso en 1963. También desarrolló, junto con Robert Burns Woodward, las reglas para elucidar los mecanismos de reacción de los productos químicos, conocidos como las Reglas de Woodward-Hoffmann
  • Robert Woodward

    Robert Woodward

    Interesado en la síntesis química de sustancias orgánicas.
    Sus trabajos teóricos incluyen su colaboración con Roald Hoffmann, con quien realizó estudios de los mecanismos de reacción de los productos químicos, instaurando las reglas de Woodward-Hoffmann.

Looking for a timeline maker?

Create timelines for projects, roadmaps, history, lessons, legal cases, and stories with Timetoast. Timetoast is a timeline maker for work, school, research, and stories.