Historia del plástico.

  • Revolución Industrial siglo XIX

    Revolución Industrial siglo XIX

    Estipulo la creación de los plásticos y creo la demanda de materiales que pudieran tener fácil vinculación y manipulación.
  • Creación del parkesina

    Creación del parkesina

    Alexander Parkers reemplazo las bolas de marfil con un plástico llamado parkesina debido a la extinción de elefantes.
  • Wesley Hyatt

    Wesley Hyatt

    Continuo con la búsqueda de parks de encontrar solvente que uniría a la celulosa y el nitrato e infundo las bases de la industria del plástico.
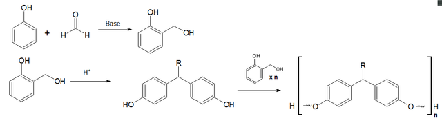
  • Baquelita

    Baquelita

    Adolf von Baeyer dio creacion a la reaccion fenolformaldeido pero no dio como resultado de uso.
  • Creación de la Baquelita

    Creación de la Baquelita

    Leo Baeckeland diseño una forma efectiva de solucionar el problema de la viscosidad en la baquelita al inventar el método de calor y presión; de esta manera crea un material suave, liso y duro.
  • Fibras Artificiales

    Fibras Artificiales

    Químicos ingleses descubrieron que el gas de etileno polimerizaba bajo la acción del calor y la presión formando un termoplástico llamado polietileno (PE).
  • Nylon

    Nylon

    Wallace Carothers se enfocó su trabajo en una fibra conocida simplemente como "66", una serie derivada de su estructura molecular. El nylon, la "fibra milagrosa", había nacido.
  • Industria del caucho sintético

    Industria del caucho sintético

    50 plantas producían 800.000 toneladas de caucho artificial al año.El doble de la producción antes de la 2da guerra mundial, cuando se convirtió en guerra de suministros
  • Polietileno

    Polietileno

    Durante la Guerra Mundial el polietileno se consideró como un alto secreto ya que el polietileno quedo preparado para ser utilizado en el trabajo crítico de aislar cables del recientemente descubierto radar, lo que les dio una enorme ventaja técnica en la guerra aérea de larga distancia, especialmente durante la Batalla del Atlántico contra los submarinos alemanes que pretendían matar de hambre a Gran Bretaña mediante el corte de los suministros por vía marítima de alimentos y materias primas.
  • Teflón

    Teflón

    Material resbaladizo que fue utilizado como superficie anti-adherente en cazuelas y sartenes.
  • Medicina

    Medicina

    Llego a crear un corazón artificial, se basa en las prótesis y los trasplantes de órganos, desde los años 40 y en la actualidad cada vez avanza más.
  • Tupperware

    Tupperware

    Earl Tupper fundo la compañía de recipientes plásticos para comida de polietileno; el mismo plástico que permitió a los británicos a mejorar el radar.
  • Laminados

    Laminados

    los laminados de formica fueron otro plástico revolucionario de la pos-guerra y fue calificado como la maravilla de fácil limpieza.
  • Moldeo por Inyección

    Moldeo por Inyección

    Este proceso mejoro y dio mayores avances en la producción del plástico, como en la espuma de poliuretano, carrocería de vidrio, la película transparente con aislamiento de distintos germenes y olores, muebles moldeados en 1 sola pieza, el tv en una carcasa de baquelita.
  • Aumento del uso del plástico

    Aumento del uso del plástico

    George Westinghouse utilizó más de 44 objetos en su capsula del tiempo para su exposición universal presentando la vida moderna
  • Dacron

    Dacron

    Dispararon la revolución de la ropa que no necesita plancharse, el vidrio artificial, la moda de la ropa de plástico basada en estilos de la era espacial
  • Plástico en las artes

    Plástico en las artes

    Los artistas Christo y Jeanne Claude envolvieron 2km de costa australiana con 93.000M-cuadrados de tejido sintético y 56km de cuerda de polipropileno.
  • Crítica del plástico

    Crítica del plástico

    Fue objeto de controversia, miles de botellas y de bolsas, contribuyeron a su mala imagen de manera no-biodegradable durando bastantes años, generando daños a las focas
  • Reciclaje

    Reciclaje

    Se lanzo una campaña del reciclaje. se reciclaban mas de 30.000 contenedores de plásticos rígidos; cada año la empresa wine company salva mas de 3.000 botellas del basurero y la covierte en ropa de calle y de deporte de ultima moda.
  • 2018

    2018

    En la actualidad el plástico es un material que lo evidenciamos en todo lugar de manera vital, hizo un cambio por completo en la humanidad y debemos de aprender a darle mejor manejo en el reciclaje.

Looking for a timeline maker?

Create timelines for projects, roadmaps, history, lessons, legal cases, and stories with Timetoast. Timetoast is a timeline maker for work, school, research, and stories.