Anililna

HISTORIA DE LOS HIDROCARBUROS AROMÁTICOS

  • Descubrimiento de la naftalina

    Descubrimiento de la naftalina

    Descubrimiento de una sustancia sólida blanca con un olor penetrante derivada de la destilación de carbón en estado líquido, más tarde la llamaría naftalina
  • Descubrimiento de las propiedades de la nafta

    Descubrimiento de las propiedades de la nafta

    John Kidd descubrió muchas de las propiedades de la naftalina y medios para su producción, bautizándola con el nombre de nafta, este nombre se daba en aquella época a cualquier sustancia volátil relacionada con los hidrocarburos. Texto de http://bolitasquimicas.blogspot.com.co . La naftalina. Octubre 2013. Consultado 23 de marzo 2018. Imagen libre de derecho de autor
  • Descubrimiento del benceno

    Descubrimiento del benceno

    Michael Faraday descubrió el benceno. cuando los propietarios de la fábrica de gas para el alumbrado de Londres le pidieron que encontrara una solución al problema de que durante el invierno, con el frío, el gas perdía su capacidad de producir llama. se dio cuenta de que con el frío el gas se condensaba y se acumulaba en el fondo de las botellas en forma de líquido transparente y aromático. Imagen de https://www.vix.com/es/btg/curiosidades/3665/el-sueno-de-kekule-y-el-benceno
  • Sulfonación del naftaleno.

    Sulfonación del naftaleno.

    Faraday descubre la reacción de sulfonación del naftaleno. Klages. (1969). (p 33)
  • Aíslan antraceno del alquitrán de hulla.

    Aíslan antraceno del alquitrán de hulla.

    Antoine Laurent y Jean Dumas aíslan antraceno del alquitrán de hulla. Klages, F. (1969). (p 33)
  • Investigación del radical benzoico

    Investigación del radical benzoico

    Justus von Liebig y Friedrich Wöhler investigan el radical benzoico, establecimiento de la antigua teoría de los radicales. (Klages, 1969), p 33.
  • Obtención de benceno

    Mitscherlinch obtiene benceno por descarboxilación del ácido benzoico. (Klages, 1969), p 33
  • Sintesis del benceno

    Sintesis del benceno

    1834 por Eilhard Mistscherlich sintetizó benceno al calentar ácido benzoico, aislado de la goma de benjuí, en presencia de cal, y se le dió el nombre de benceno ya que en inglés benjuí es benzoin. Imagen tomada de https://fineartamerica.com/featured/1-eilhard-mitscherlich-german-chemist-science-source.html
  • Aísla la anilina, pirrol, leukol y fenol

    Aísla la anilina, pirrol, leukol y fenol

    Fredlieb Ferdinand Runge aísla el cianol (anilina), pirrol, leukol (quinoleina) y ácido carbonilo (fenol) a partir de alquitrán de hulla. (Klages, 1969), p 33
  • Reacción de nitración del benceno y reducción alcalina de nitrobenceno a azobenceno (Klages, 1969), p 33

    Reacción de nitración del benceno y reducción alcalina de nitrobenceno a azobenceno (Klages, 1969), p 33

    Elidhardt Mitsherlinch efectúa reacción de nitración del benceno y reducción alcalina de nitrobenceno a azobenceno (Klages, 1969), p 33
  • Oxidación del naftaleno y antraceno

    Oxidación del naftaleno y antraceno

    Antoine Laurent realiza la oxidación del naftaleno y antraceno a ácido ftálico y antraquinona. (Klages, 1969), p 33
  • Descubrimiento de la anilina

    Descubrimiento de la anilina

    Carl Julius Fritzsche hace un nuevo descubrimiento de la anilina a partir del índigo. (Klages, 1969), p 33
  • Reducción del nitrobenceno a anilina.

    Reducción del nitrobenceno a anilina.

    Zinin realiza síntesis de reducción del nitrobenceno a anilina en medio ácido. (Klages, 1969), p 34
  • Descubrimiento de la mauveina

    Descubrimiento de la mauveina

    William Henry Perkin descubre la mauveina o malveina (anilina morada), primer colorante sintético extraido de la hulla (Klages, 1969), p 34.
  • Desarrollo de la estructura química del benceno

    Desarrollo de la estructura química del benceno

    Friedrich August Kekulé, desarrolló una teoría sobre la estructura química orgánica basada en dos nociones: la tetravalencia del carbono y la capacidad de sus átomos de formar enlaces entre ellos.
  • división en química de los ácidos grasos y de las combinaciones aromáticas.

    división en química de los ácidos grasos y de las combinaciones aromáticas.

    Kekulé promueve la división de la química orgánica en química de los ácidos grasos y de las combinaciones aromáticas. (Klages, 1969), p 34
  • Preparación de hidrocarburos aromáticos (Klages, 1969), p 35

    Wilhelm Rudolph Fittig aplica la síntesis de Wurtz a la preparación de hidrocarburos aromáticos (Klages, 1969), p 35
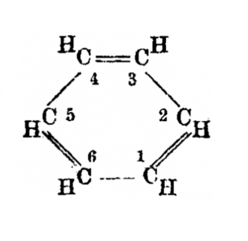
  • Primera estructura química del benceno

    Primera estructura química del benceno

    Propuesta por el químico alemán Friedrich
    August Kekulé von Stradonitz consistía en una mezcla en
    equilibrio de dos ciclohexatrienos, formados con enlaces sencillos y dobles alternados. Texto en http://www.sinorg.uji.es/Docencia/QO/tema9QO.pdf
    Imagen de www.wikimedia.com
  • Síntesis del benceno a partir de acetileno.

    Síntesis del benceno a partir de acetileno.

    Marcelino Berthelot realiza la síntesis del benceno a partir de acetileno. (Klages, 1969), p 35
  • Estructura de la naftalina

    Estructura de la naftalina

    Emil Erlenmeyer propone que la molécula de naftalina tiene dos anillos por bencenoy confirmada 3 años más tarde por Karl Graebe. (Klages, 1969), p 35
  • Period: to

    Relaciones de isomería de los derivados del benceno

    Wilhelm Körner esclarece las relaciones de isomería de los derivados del benceno (Klages, 1969),p 35
  • Sintesis de la alizarina

    Sintesis de la alizarina

    Carl Graebe y Karl Theodor Liebermann sintetizan la alizarina, y postulan la primera teoría acerca de las relaciones entre la constitución y el color (Klages, 1969), p 35
  • Síntesis de la cumarina.

    Síntesis de la cumarina.

    William Henry Perkin sintetiza la cumarina. (Klages, 1969), p 35. La cumarina puede ser usada como antiséptica, analgésica, antitumoral, antiarrítmico, antiinflamatoria y contra la hipertensión, el asma, la osteoporosis y el VIH. Recuperado de https://es.wikipedia.org/wiki/Cumarina. Marzo 24 de 2018
  • Síntesis parcial del índigo

    Síntesis parcial del índigo

    Adolf von Baeyer realiza la primera síntesis parcial del índigo a partir de la isatina. (Klages, 1969), p 35. Este es el colorante que ese usa para teñir los blue jeans. Imagen de www.wikipedia.com/indigo
  • Descubrimiento de la fórmula del antraceno

    Descubrimiento de la fórmula del antraceno

    Carl Graebe y Karl Theodor Liebermann estable la fórmula del antraceno de Anschutz, comprobada en 1866. (Klages, 1969), p 35
  • Estructura de la naftalina

    Estructura de la naftalina

    Emil Erlenmeyer propone que la molécula de naftalina tiene dos anillos por benceno. Texto de http://bolitasquimicas.blogspot.com.co . La naftalina. Octubre 2013. Consultado 23 de marzo 2018. Imagen libre de derecho de autor
  • Confirmación de la estructura de la naftalina

    Confirmación de la estructura de la naftalina

    Karl Graebe confirma la estructura de la naftalina propuesta por Emil Erlenmeyer. Texto de .http://bolitasquimicas.blogspot.com.co . La naftalina. Octubre 2013. Consultado 23 de marzo 2018. Imagen libre de derecho de autor
  • Fiesta del benceno

    Se celebró un Benzol Fest (una especie de fiesta del benceno) en honor a Kekulé, se contaron la historia de los dos sueños de este científico. También le dijo a sus colegas lo siguiente: “Soñemos, caballeros, así quizás encontremos la verdad.”
  • Hallazgo del indantreno

    Hallazgo del indantreno

    Bohn realiza el primer hallazgo de los colorante de indantreno (Klages, 1969), p 36. Imagen de https://en.wikipedia.org/wiki/Indanthrone_blue
  • Síntesis del ciclooctatetraeno o ([8]anuleno)

    Síntesis del ciclooctatetraeno o ([8]anuleno)

    Richard Willstätter sintetiza el ciclooctatetraeno y se pudo demostrar que no presentaba la química típica de los compuestos aromáticos, sino una estructura de bote. TExto e imagen de http://www.sinorg.uji.es/Docencia/QO/tema9QO.pdf consultado el 22 de marzo de 2018.
  • Primer descubrimiento de la anilina

    Primer descubrimiento de la anilina

    Otto Unverdorben hace el primer descubrimiento de la anilina como producto de degradación del índigo. La llamó crystallin. Klages, F. (1969). (p 33)
  • Estructura química del benceno

    Estructura química del benceno

    Se determinó la estructura química
  • Reacción de Birch

    Reacción de Birch

    El químico australiano A. J. Birch encontró que los derivados del benceno se reducen para originar 1,4-ciclohexadienos no conjugados, mediante la reacción con sodio, o litio, en amoníaco líquido, en presencia de un alcohol como dador de protones. Textos e imagen de http://www.sinorg.uji.es/Docencia/QO/tema9QO.pdf consultado el 22 de marzo de 2018
  • Obtención de hidrocarburos aromáticos a base de petroleo

    En EE.UU. se da la primera obtención de hidrocarburos aromáticos procedentes del petróleo al inventarse el reformado catalítico de naftas; con esta tecnología se buscaba elevar el número de octano que exigían las gasolinas de aviación. Había nacido la moderna petroquímica basada en naftas del petróleo y procesos catalíticos. López Recuperado de http://www.ladep.es/ficheros/documentos/ARTICULO%20DE%20PETROQUIMICA%20CEPSA.pdf
  • Teoría de los colorantes.

    H. Kuhn estable la nueva teoría de los colorantes. (Klages, 1969), p 39
  • Crecimiento de la industria petroquímica.

    La petroquímica basada en naftas de petróleo aporta más del 96% de la producción mundial de B.T.X. y permite soportar una muy diversificada y en constante crecimiento industria petroquímica. (López, 1999.) http://www.ladep.es/ficheros/documentos/ARTICULO%20DE%20PETROQUIMICA%20CEPSA.pdf. Marzo 25 2018
    BTX es una mezcla de benceno, tolueno y 3 formas de xilenos derivado del alquitrán de hulla. Recuperado de https://es.wikipedia.org/wiki/BTX_(qu%C3%ADmica). Marzo 25 2018
  • Descubrimiento del naftaleno en el espacio interestelar

    Descubrimiento del naftaleno en el espacio interestelar

  • Descubrimiento del antraceno en el espacio interestelar

    Descubrimiento del antraceno en el espacio interestelar