Química

HISTORIA DE LA QUÍMICA

By djga
  • Teoría atómico

    Teoría atómico

    John Dalton definió un átomo como la parte más pequeña de una sustancia que puede participar en una reacción química. Propuso que los elementos están compuestos de átomos idénticos y que los elementos se combinan en proporciones definidas: estequiometría. Dalton también produjo una tabla inicial de pesos atómicos.
  • La tabla Mendeleev I

    La tabla Mendeleev I

    La primera tabla periódica plausible, fue publicada. Fue construido usando el elemento recientemente descubierto. Se habían descubierto unos 35 elementos desde 1800.
  • Radioactividad

    Radioactividad

    En el año 1904, JJ Thomson propuso que el átomo tenía una estructura de "pudín de ciruela", con los electrones negativos en matrices circulares, las ciruelas, incrustadas en un budín esférico de carga positiva con una masa distribuida uniformemente. Fue el estudio de la radioactividad, en particular la radiación alfa, lo que permitió a Rutherford desarrollar sus experimentos para explorar la estructura atómica.
  • La idea cuántica de Planck

    La idea cuántica de Planck

    La idea cuántica de Planck se desarrolló como una forma de explicar la radiación del cuerpo negro y la catástrofe ultravioleta asociada, por la propuesta de que la energía energética viene en pequeños paquetes o quanta
  • Einstein y el efecto fotoeléctrico

    Einstein y el efecto fotoeléctrico

    Se sabía que los metales emiten electrones cuando se exponen a la luz (el sistema en el vacío), sin embargo, no se podía explicar por qué la velocidad de emisión dependía de la longitud de onda de la luz en el forma en que lo hizo. Einstein demostró que si la luz consistía en fotones cuantificados similares a partículas, donde la energía del fotón dependía de su longitud de onda, podría explicarse el efecto fotoeléctrico. La luz podría comportarse como una onda y una partícula.
  • Átomo de Rutherford

    Átomo de Rutherford

    Rutherford, ganador del Premio Nobel (1908), interpretó los resultados del experimento Geiger-Marsden que implican un rayo de partículas alfa disparadas a una fina lámina de oro diseñada para medir la deflexión a medida que las partículas alfa interactuaban con el "pudín de ciruela" átomos de oro.
  • Átomo de Bohr

    Átomo de Bohr

    Niels Bohr construyó un modelo del átomo que tenía electrones cargados negativamente, pequeños, ligeros, rápidos, similares a partículas, que "orbitaban" un pequeño núcleo de carga positiva masiva; aunque por lo que el electrón no entró en espiral en el núcleo no pudo ser explicado. Los caparazones de electrones se cuantificaron y, a medida que los electrones se movían de la envoltura a la concha, emitían o absorbían fotones cuya energía era igual a la diferencia de energía entre las capas.
  • Period: to

    Pectroscopía y números cuánticos

    Los científicos habían utilizado espectros atómicos desde la década de 1850, como Bunsen y Kirchhoff. En Dinamarca, Niels Bohr volvió a estudiar los espectros atómicos y, junto con Sommerfield, Stoner y Pauli, ideó los números cuánticos a partir de la evidencia empírica
  • Teoría de Lewis

    Teoría de Lewis

    Lewis usó las nuevas ideas sobre estructura atómica que fueron ampliamente discutidas en sus laboratorios:
    número atómico
    Bohr átomo
    desarrollando la tabla periódica
    importancia crucial del electrón
    química de soluciones iónicas
    estructura molecular
    etc.
    La teoría de Lewis es buena para describir:
    Gran estructura atómica, iónica y molecular
    Contabilidad electrónica durante reacciones químicas
    Mecanismos de reacción con flechas rizadas
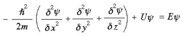
  • La ecuación de onda de Schrödinger

    La ecuación de onda de Schrödinger

    Edwin Schrödinger conocía la propuesta de De Broglie de que los electrones exhibían dualidad onda-partícula. Con esta idea en mente, ideó / construyó una ecuación diferencial para un electrón ondulado que resuena en tres dimensiones sobre una carga positiva de punto
  • Las cinco reglas de Pauling: estructura cristalina

    Las cinco reglas de Pauling: estructura cristalina

    1)Alrededor de cada catión, se forma un poliedro de coordinación de aniones, en el que la distancia catión-anión está determinada por las sumas del radio y el número de coordinación está determinado por la relación del radio.
    2)El número de poliedros con un ángulo común: regla de valencia electrostática.
    3)El uso compartido de bordes, caras y esquinas de poliedros.
    4)La regla de la parsimonia:La cantidad de tipos esencialmente diferentes de constituyentes en un cristal tiende a ser pequeña.
  • Valence Bond Theory

    Valence Bond Theory

    Una vez que se entendieron los orbitales atómicos en términos tanto de los números cuánticos de Bohr como de la ecuación de la onda de Schrödinger, se buscó comprender el enlace en las moléculas. El enfoque de Linus Pauling fue tomar los orbitales atómicos y mezclarlos (hibridar). Por ejemplo, el orbital 2s puede mezclarse con los tres orbitales 2p para dar cuatro orbitales sp3 "híbridos" que están dispuestos tetraédricamente alrededor del átomo central.
  • Electronegatividad de Pauling

    Electronegatividad de Pauling

    Linus Pauling usó datos empíricos de calor de reacción para introducir la propiedad elemental de la electronegatividad que definió como: "El deseo de un átomo de atraer electrones hacia sí mismo".
  • El triángulo de van Arkel-Ketelaar

    El triángulo de van Arkel-Ketelaar

    Reconoce tres tipos extremos de enlaces: metálicos, iónicos y covalentes y que muchos tipos de enlaces son intermedios entre los tipos extremos. Este comportamiento se puede racionalizar en términos de electronegatividad.
  • La Repulsión de Pares de Electrones de Valence Shell (VSEPR)

    La Repulsión de Pares de Electrones de Valence Shell (VSEPR)

    Establece que los pares de electrones (pares de electrones covalentes enlazados y "pares únicos" no unidos de electrones) se repelen entre sí. El metano, CH4, tiene cuatro pares de electrones enlazados y estos se repelen entre sí para dar a los cuatro hidrógenos geometría tetraédrica sobre el carbono central. Del mismo modo, el amoníaco tiene tres pares de electrones enlazados y un par solitario que se repelen mutuamente, de modo que el amoniaco es trigonal piramidal.
  • Frontier Molecular Orbital Theory

    Frontier Molecular Orbital Theory

    Fue desarrollado en la década de 1960 por Kenichi Fukui, quien reconoció que la reactividad química a menudo se puede explicar en términos de interacciones entre los OM ocupados más altos (HOMO), los OM desocupados más bajos (LUMO) y los MO ocupados aislados (SOMO).
    HOMO + LUMO -> vinculación MO
    HOMO + HOMO -> antibonding MO
    LUMO + LUMO -> interacción nula (sin electrones)
    SOMO + SOMO -> vinculación MO
  • Mecánica Molecular y Dinámica Molecular

    Mecánica Molecular y Dinámica Molecular

    El método trata una molécula como una colección de partículas unidas por fuerzas armónicas elásticas o simples. Estas fuerzas se pueden describir en términos de funciones energéticas potenciales. La suma de estos términos proporciona la energía estérica global. Este sistema puede ser modelado por la ecuación de Westheimer es:
    Etotal = Es + Eb + Ew + Enb
    Es = energía de la deformación del enlace
    Eb = energía de flexión
    Ew = energía de torsión
    Enb = interacciones no enlazadas (van der Waals)
  • Tetraedro de estructura, unión y tipo de material

    Tetraedro de estructura, unión y tipo de material

    Michael Laing amplió el triángulo van Arkel-Ketelaar en un tetraedro al separar los enlaces covalentes en dos tipos: molecular y red covalente:
    Los materiales covalentes moleculares consisten en moléculas pequeñas con fuertes enlaces covalentes intramoleculares pero débil atracción intermolecular de van der Waals.
    Los materiales covalentes de red tienen fuertes enlaces covalentes que se extienden por todo el material.
  • Tetraedro de estructura, unión y tipo de material

    Mark R Leach recientemente, 2008, cuantificó el tetraedro de estructura, unión y tipo de material con respecto a la valencia y la electronegatividad

Want to make a timeline like this?

Use Timetoast to turn dates, events, milestones, and phases into a clear visual timeline you can build and share. Timetoast is a timeline maker for work, school, research, and stories.