Probabilidad

Historia de la probabilidad y estadística

  • Creación

    Creación

    Emergen los primeros inicios de la teoría de la probabilidad en base de alguna correspondencia entre Blaise
  • Primer Empleo de datos estadísticos

    Primer Empleo de datos estadísticos

    Caspar Neumann fue el primero en utilizar los datos estadísticos para fines ajenos a la política. Este investigador se propuso destruir la antigua creencia popular de que en los años terminados en siete moría más gente que en los restantes, y para lograrlo hurgó pacientemente en los archivos parroquiales de la ciudad.
  • Uso político en siglo XVII

    Uso político en siglo XVII

    Los eruditos del siglo XVIII demostraron especial interés por la Estadística Demográfica como resultado de la especulación sobre si la población aumentaba, decrecía o permanecía estática.
  • Principio de la teoría de probabilidades

    Principio de la teoría de probabilidades

    Pierre-Simon Laplace hace el primer intento de deducir una regla para la combinación de observaciones desde los principios de la teoría de probabilidades.
  • 2 principales teorías

    2 principales teorías

    Se desarrollaron dos conceptos matemáticos fundamentales para la teoría Estadística; la teoría de los errores de observación, aportada por Laplace y Gauss; y la teoría de los mínimos cuadrados desarrollada por Laplace, Gauss y Legendre.
  • Publicación de la primera ley

    Publicación de la primera ley

    Fue publicada la primera Ley Estadística de las provincias Centroamericanas. En homenaje a este acontecimiento desde los años 60 se celebra el día del estadístico.
  • Comisión Nacional de Estadística en Guatemala

    Comisión Nacional de Estadística en Guatemala

    Se emite el Acuerdo que designa a la primera Comisión Nacional de Estadística en Guatemala, integrada entre otros por el doctor Mariano Gálvez, Manuel José Pavón, Francisco Cáscara Acesta, y el Presbítero Isidro Menéndez.
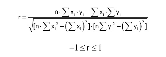
  • Método de correlación

    Método de correlación

    Sir Francis Gaston ideó el método conocido por Correlación, que tenía por objeto medir la influencia relativa de los factores sobre las variables.

A list shows items. A timeline shows sequence.

Use Timetoast to make dates, milestones, and turning points easier to understand in a clear visual format. Timetoast is a timeline maker for work, school, research, and stories.