Estadistica

Historia de la Estadistica

  • El origen de la Estadistica

    El origen de la Estadistica

    Para la época del renacimiento las matemáticas y la filosofía, empiezan a dar una explicación coherente a muchos fenómenos que no seguían un patróndeterminístico, sino aleatorio. Es el caso de todos los fenómenos relativos a la
    probabilidad
    de los sucesos, concretados en este tiempo fundamentalmente en los juegos de azar. A finales del sigloXVI, se habla del primer problema de "probabilidad"realizado por GalileoGalilei
  • Matematicos dieron los primeros principios de la probabilidad y estadistica

    Matematicos dieron los primeros principios de la probabilidad y estadistica

    En este periodo es cuando empiezan a surgir de manera más seria inquietudes entorno a contabilizar el número de posibles resultados de un dado lanzado varias veces, o problemas más prácticos sobre cómo repartir las ganancias delos jugadores cuando el juego se interrumpe antes de finalizar. De hecho la idea de modelizar el azar mediante lasmatemáticas aún no estaba plenamente presente en los intelectuales de la época
  • La Teoria de Blaise Pascal

    La Teoria de Blaise Pascal

    El desarrollo que Blaise Pascal hizo en el campo de la teoría de la probabilidad fue su contribución má sinfluyente en el campod e las matemáticas.
    Sus pensamientos acostumbraban a salir de manera pausada, ordenada, y eran plasmados con una caligrafía clara y sin apenas borrones. El filósofo, un buen racionalista, habría intentado dar una solución lógica al problema de la vida eterna pero probablemente fue el temor a posibles represalias lo que hizo que no escribiera un texto definitivo
  • Teoría Moderna de la Probabilidad y ESTADISTICA

    Teoría Moderna de la Probabilidad y ESTADISTICA

    Este y otros problemas planteados por el caballero a Pascal sobre cuestiones relacionadas con diferentes juegos de azar, dieron origen a una correspondencia entre el propio Pascal y algunos de sus amigos matemáticos,sobre todo con
    Pierre de Fermat
    (1601-1665) de Toulouse, abogado de profesión, pero gran amante de las matemáticas. Esta correspondencia constituye el
    origen de la teoría moderna de la probabilidad
  • Ley de probabilidades compuestas

    Ley de probabilidades compuestas

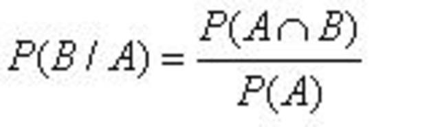
    Abraham de Moivre (1667-1754)
    Enunció la ley de probabilidades compuestas Es aquella que se calcula cuando se ha incorporado información adicional a las condiciones iniciales. La probabilidad de ocurrencia de un suceso B, condicionada por la ocurrencia del suceso A, o probabilidad a posteriori, se denota P(B/A), y su valor se determina por la expresión:
  • Estadistica deductiva e inductiva

    Estadistica deductiva e inductiva

    la estadística entra en una nueva fase de su desarrollo con la generalización del método para estudiar fenómenos de las ciencias naturales y sociales. Galton » y Pearson se pueden considerar como los padres de la estadística moderna, pues a ellos se debe el paso de la estadística deductiva a la estadística inductiva.
  • La teoría de los errores

    La teoría de los errores

    Pierre-Simon Laplace
    publica su Teoría analítica de las probabilidades y en 1814 su
    Ensayo filosófico sobre la probabilidad. Pierre Simon Laplace Sentó las bases científicas de la
    teoría matemática de probabilidades(en su obra
    Théorie analytiquedes probabilités,
    formuló el método de los mínimos cuadrados que es fundamental para la teoría de errores.
  • Los Metodos de Inferencia

    Los Metodos de Inferencia

    Los fundamentos de la estadística actual y muchos de los métodos de inferencia son debidos a R. A. Fisher. Se intereso primeramente por la eugenesia, lo que le conduce, siguiendo los pasos de Galton a la investigación estadística, sus trabajos culminan con la publicación de la obra Métodos estadísticos para investigaciones. En el aparece la metodología estadística tal y como hoy la conocemos.
  • Base Axiomatica de la Estadistica

    Base Axiomatica de la Estadistica

    Andréi Kolmogoroy desarrolló la base axiomática dela probabilidad utilizando teoría de la medida.En términos más formales, una probabilidad es una medida Los axiomas de probabilidad son las condiciones mínimas que deben verificarse para que una función definida sobre un conjunto de sucesos determine consistentemente sus probabilidades
  • Period: to

    Era Moderna o Actual

    Al dia de hoy la estadistica es una de la ciencias mas importantes de nuestra vida. Esto es muy importante de remarcar ya que la estadística se convierte entonces en una ciencia que nos habla de cantidades (por ejemplo, cuántas personas viven en un país por metro cuadrado) pero no nos da información directa sobre la calidad de vida de esas personas.

Want to make a timeline like this?

Use Timetoast to turn dates, events, milestones, and phases into a clear visual timeline you can build and share. Timetoast is a timeline maker for work, school, research, and stories.