Estadistica

HISTORIA DE ESTADISTICA

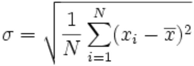
  • MEDIANA

    MEDIANA

    La idea de la mediana se originó en el libro de navegación de Edward Wright (Certaine errors in navigation) en 1599 en una sección concerniente a la determinación de una localización con un compás. Wright sintió que este valor era el que más probablemente estuviera correcto en una serie de observaciones
  • METODOS MATEMATICOS DE LA ESTADISTICA

    METODOS MATEMATICOS DE LA ESTADISTICA

    Los métodos matemáticos de la estadística surgieron de la teoría de probabilidades, la cual tiene sus raíces en la correspondencia entre Pierre de Fermat y Blaise Pascal
  • ESTUDIO DE POBLACION

    ESTUDIO DE POBLACION

    en 1662 apareció el primer estudio estadístico notable de población, titulado Observations on the London Bills of Mortality (Comentarios sobre las partidas de defunción en Londres). Un estudio similar sobre la tasa de mortalidad en la ciudad de Breslau, en Alemania, realizado en 1691, fue utilizado por el astrónomo inglés Edmund Halley como base para la primera tabla de mortalidad
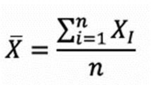
  • FORMULA DE LA MEDIA

    FORMULA DE LA MEDIA

    Pierre-Simon Laplace (1774) hizo su primer intento de deducir una regla para la combinación de observaciones desde los principios de la teoría de las probabilidades. El representó la ley de a probabilidad de errores mediante una curva y dedujo una fórmula para la media de tres observaciones.
  • SEGUNDA LEY DE ERRORES

    SEGUNDA LEY DE ERRORES

    Laplace en 1778 publicó su segunda ley de errores en la cual notó que la frecuencia de un error era proporcional a la función exponencial del cuadrado de su magnitud
  • TERMINO ESTADISTICA SIGLO XVIII

    TERMINO ESTADISTICA SIGLO XVIII

    En el siglo XVIII, el término "estadística" designaba la colección sistemática de datos demográficos y económicos por los estados. A principios del siglo XIX, el significado de "estadística" fue ampliado para incluir la disciplina ocupada de recolectar, resumir y analizar los datos
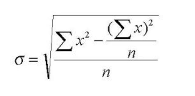
  • METODO DE MINIMOS CUADRADOS

    METODO DE MINIMOS CUADRADOS

    El método de los mínimos cuadrados, el cual era usado para minimizar errores en la medición de datos, fue publicado independientemente por Adrien-Marie Legendre (1805)
  • ERROR PROBABLE

    ERROR PROBABLE

    El término «error probable» (der wahrscheinliche Fehler) ―la desviación media― fue introducido en 1815 por el astrónomo alemán Frederik Wilhelm Bessel
  • MEDIANA

    MEDIANA

    Antoine Augustin Cournot en 1843 fue el primero en usar el término «mediana» (valeur médiane) para el valor que divide la distribución de probabilidad en dos mitades iguales.
  • FORMULA DE ERROR PROBABLE

    FORMULA DE ERROR PROBABLE

    La formula de Peters (1856) para , el "error probable" de una sola observación fue ampliamente usada e inspiró tempranamente la estadística robusta (resistente a valores atípicos
  • DISTRIBUCION NORMAL

    Las primeras pruebas de la distribución normal fueron inventadas por el estadístico alemán Wilhelm Lexis en 1870. El único conjunto de datos disponible para él, en que le era posible mostrar que estaba normalmente distribuido, era la frecuencia de nacimientos
  • NORMAL

    NORMAL

    Esta distribución fue referida como «normal» por primera vez por Pierce en 1873, quien estaba estudiando las medidas de error cuando un objeto era dejado caer sobre una superficie de madera.10 Escogió el término «normal» debido a su ocurrencia frecuente en variables que ocurrían en la naturaleza
  • RAZONAMIENTO ESTADISTICO SIGLO XIX

    RAZONAMIENTO ESTADISTICO SIGLO XIX

    En el siglo XIX, el razonamiento estadístico y los modelos probabilísticos fueron usados por las ciencias sociales para el avance las nuevas ciencias de psicología experimental y sociología, y por las ciencias físicas en termodinámica y mecánica estadística. El desarrollo del razonamiento estadístico estuvo fuertemente relacionado con el desarrollo de la lógica inductiva y el método científico
  • ORIGEN DE ESTADISTICA 3000 A.C

    ORIGEN DE ESTADISTICA 3000 A.C

    Desde los comienzos de la civilización han existido formas sencillas de estadística, pues ya se utilizaban representaciones gráficas y otros símbolos en pieles, rocas, palos de madera y paredes de cuevas para contar el número de personas, animales o ciertas cosas. Hacia el año 3000 a.C. los babilonios usaban ya pequeñas tablillas de arcilla para recopilar datos en tablas sobre la producción agrícola y de los géneros vendidos o cambiados mediante trueque.
  • USO DE METODOS ESTADISTICO SIGLO V A.C

    USO DE METODOS ESTADISTICO SIGLO V A.C

    El uso de los métodos estadísticos se remonta al menos al siglo V a. C. El historiador Tucídides en su Historia de la Guerra del Peloponeso2 describe como los atenienses calculaban la altura de la muralla de Platea, contando el número de ladrillos de una sección expuesta de la muralla.

A list shows items. A timeline shows sequence.

Use Timetoast to make dates, milestones, and turning points easier to understand in a clear visual format. Timetoast is a timeline maker for work, school, research, and stories.