Math

Famous Mathematicians

By cb77
  • Pythagoras (c.570 BC - c.495 BC)
    570 BCE

    Pythagoras (c.570 BC - c.495 BC)

    Nationality: Greek, Known For: Pythagorean Theorem
  • Blaise Pascal (1623-1662)

    Blaise Pascal (1623-1662)

    Nationality: French,

    Known For: pascal's triangle
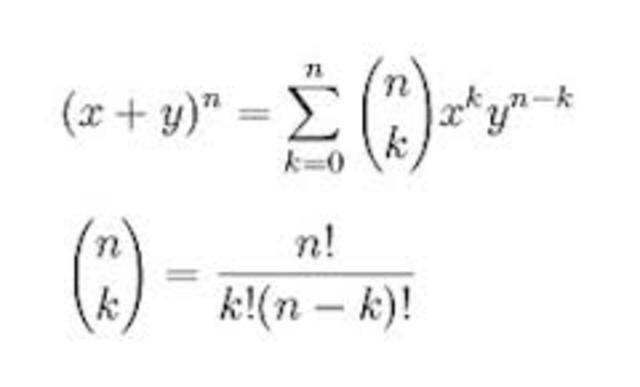
  • Isaac Newton (1642-1727)

    Isaac Newton (1642-1727)

    Nationality: English,

    Known For: his book, Mathematical Principles of Natural Philosophy, which was used to understand mechanics, & the binomial theorem
  • Ada Lovelace (1815-1852)

    Ada Lovelace (1815-1852)

    Nationality : English,

    Known for: World's first computer programmer
  • Albert Einstein (1879 - 1955)

    Albert Einstein (1879 - 1955)

    Nationality: German, American,

    Known For: E=mc^2
    Mastered Calculus before the age of 15