R

Estudio de la estructura de la materia - Carla Romero Martínez

  • Modelo atómico de Dalton

    Modelo atómico de Dalton

    Postulados:
    Hay partículas mínimas, indestructibles e indivisibles, los átomos.
    Los átomos de un mismo elemento son idénticos, con la misma masa y propiedades.
    Los átomos no se dividen, se crean o destruyen durante las reacciones químicas.
    Los átomos pueden combinarse en diferentes proporciones y cantidades. Se ordenan según relaciones simples mediante números enteros.
    Errores: Los átomos si son divisibles, el peso atómico de un elemento no siempre permanece constante y los átomos son variables.
  • Descubrimiento del electrón

    Descubrimiento del electrón

    Joseph John Thomson (1856-1940), un científico británico, anunció el descubrimiento del electrón, aunque él lo llamó corpúsculo. Su hallazgo fue gracias a los rayos catódicos con los que concluyo que debían ser partículas con carga negativa.
  • Hipótesis de Planck

    Hipótesis de Planck

    El físico alemán Max Planck (1858-1947) estableció la ley de Planck, que afirma que la energía de cada cuanto es igual a la frecuencia de la radiación multiplicada por la constante universal h, que es la llamada constante de Planck y es una constante fundamental de la naturaleza.
  • Modelo atómico de Thomson

    Modelo atómico de Thomson

    En su modelo el átomo está formado por electrones de carga negativa incrustados uniformemente en una esfera de carga positiva como en un "pudin de pasas".
    El átomo es neutro.
    Los electrones pueden rotar libremente en órbitas de anillos estabilizados y cuando se movian generaban los espectros.
    Errores:
    No pudo explicar cómo se mantiene la carga en los electrones dentro del átomo ni la estabilidad de un átomo.
    No mencionó nada sobre el núcleo.
    Los protones y los neutrones aún no eran descubiertos.
  • Modelo atómico de Rutherford

    Modelo atómico de Rutherford

    Las partículas con carga positiva estan en un volumen muy pequeño y la mayor parte de la masa se encuentra aqui, en el núcleo
    Los electrones giran alrededor del núcleo a altas velocidades y en trayectorias circulares, las órbitas.
    Los electrones y el núcleo estan unidos por la fuerza de atracción electrostática
    Fallos:
    No explica la estabilidad del átomo ni la distribución de los electrones alrededor del núcleo
    No explica la discontinuidad del espectro atómico ni la línea espectral de los átomos
  • Modelo atómico de Bohr o modelo planetario

    Modelo atómico de Bohr o modelo planetario

    El físico danés Niels Bohr propuso que los electrones de un átomo se mueven en órbitas con una energía constante.
    El electrón se mueve en una órbita circular en capas.
    Al pasar un electrón de un nivel de energía alto a un nivel de energía bajo, emite cuantos de luz.
    Los niveles estables se nombran con letras de la K a la Q.
    Errores:
    No explica los espectros de átomos de varios electrones
    La dualidad onda-partícula no se tuvo en cuenta
    El concepto de "órbita" es erróneo
    No menciona los neutrones
  • Descubrimiento del protón

    Descubrimiento del protón

    Ernest Rutherford (1871-1937), un físico y químico británico, hizo el descubrimiento del protón al experimentar con nitrógeno.
  • Dualidad onda corpúsculo

    Dualidad onda corpúsculo

    Se define como un fenómeno cuántico en el que muchas partículas pueden presentar comportamientos típicos de ondas cuando se realizan experimentos mientras aparecen como partículas compactas y localizadas en otros experimentos. Es típico de los objetos mecanocúanticos.
    Esta teoría demuestra que la luz y la materia pueden, a la vez, poseer propiedades de partícula y propiedades ondulatorias y que toda materia tenía una onda asociada a ella.
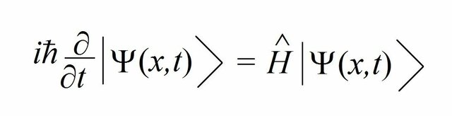
  • Ecuación de Schrödinguer

    Ecuación de Schrödinguer

    Desarrollada por Erwin Schrödinger, físico austríaco, esta ecuación describe la evolución temporal de una partícula subatómica masiva de naturaleza ondulatoria y no relativista. Tiene gran importancia en la teoría de la mecánica cuántica. Es una ecuación diferencial y su resultado nos da la función de onda del sistema y su energía. Su módulo al cuadrado nos da el significado físico de la función de onda, relacionado con la probabilidad de hallar la partícula en una determinada zona del espacio.
  • Principio de exclusión de Pauli

    Principio de exclusión de Pauli

    Desarrollada por Wolfgang Ernst Pauli, establece que no puede haber dos partículas, en concreto fermiones, con sus números cuánticos iguales (n,l,m,s).​ Más tarde se comprobó que es una consecuencia del teorema de la estadística del espín y puede tener dos valores +1/2 o -1/2. Esto explicaría que los electrones se dispersen en niveles en torno al núcleo y que los átomos que posean mayor número de electrones ocupen mayor espacio, por el aumento del número de capas de las que consta el átomo.
  • Principio de incertidumbre de Heisenberg

    Principio de incertidumbre de Heisenberg

    Werner Heisenberg señala que el simple hecho de observar una partícula subatómica, como un electrón, alterara su estado, esto impide que sepamos con exactitud dónde se encuentra y cómo se mueve. Esta teoría puede aplicarse también al mundo macroscópico para entender lo inesperada que puede ser la realidad. A nivel subatómico, es imposible saber en un mismo momento dónde está una partícula, cómo se mueve y cuál es su velocidad, teniendo consciencia de una no podemos saber con exactitud las otras.
  • Máxima multiplicidad de Hund

    Máxima multiplicidad de Hund

    Desarrollada por el físico alemán Friedrich Hund, se basa en llenar orbitales vacíos de los electrones, los que tengan menor energía, se llenarán primero. Después de que cada uno de los electrones se llene se conseguirá una mayor energía.
    Al llenar orbitales de igual energía (p, d, f) los electrones se distribuyen, con sus espines paralelos, llenando los orbitales con la multiplicidad mayor. La configuración atómica es más estable cuanto más electrones desapareados tiene.
  • Descubrimiento del neutrón

    Descubrimiento del neutrón

    James Chadwick (1891-1974), físico inglés que había sido alumno de Rutherford, encontró la nueva partícula neutra a la que se le llamó neutrón al bombardear una lámina de berilio con partículas alfa.

A list shows items. A timeline shows sequence.

Use Timetoast to make dates, milestones, and turning points easier to understand in a clear visual format. Timetoast is a timeline maker for work, school, research, and stories.