ECUACIONES DE ESTADO

  • LEY DE LOS GASES IDEALES

    LEY DE LOS GASES IDEALES

    Amedeo Avogadro propuso que cualquier dos gases, en el mismo volumen y a la misma temperatura y presión, contienen el mismo número de moléculas.
  • Ecuación de van-der-Waals

    Ecuación de van-der-Waals

    Esta únicamente debería ser usada para demostrar las ventajas y desventajas de una ecuación de estado simple.
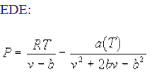
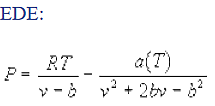
  • Redlich-Kwong

    Redlich-Kwong

    La ecuación de Redlich-Kwong por Redlich y Kwong (1949) es una modificación de la ecuación de van-der-Waals. Similar a la de van-der-Waals, esta ecuación sólo debe ser usada para determinar las capacidades y limitaciones de una ecuación de estado simple ya que existen mejores ecuaciones de estado.
  • Soave-Redlich-Kwong (Soave)

    Soave-Redlich-Kwong (Soave)

    La ecuación de Soave-Redlich-Kwong fue la primera modificación de la forma simple de la ecuación de Redlich-Kwong donde el parámetro a fue hecho dependiente de la temperatura de modo que la curva de presión de vapor pueda ser reproducida correctamente.
  • Peng-Robinson

    Peng-Robinson

    La ecuación de Peng-Robinson es la más ampliamente usada en termodinámica de Ingeniería Química. Se sabe que proporciona unas predicciones mejores para densidades de líquidos que la ecuación de Soave (1972).
  • Hederer-Peter-Wenzel

    Hederer-Peter-Wenzel

    Esta ecuación necesita tres propiedades por compuesto puro: Tc, Pc y α . α es la medida de la inclinación de la curva de presión de vapor. En el caso de α =-0.5, la ecuación se reduce a la forma de la ecuación de Redlich-Kwong (Redlich y Kwong, 1949).
  • Sako-Wu-Prausnitz

    Sako-Wu-Prausnitz

    La Ecuación Sako-Wu-Prausnitz es una modificación de la ecuación de Soave, donde el cuarto parámetro c es usado para explícitamente para incluir la no esfericidad de las moléculas.
  • Referencias

    Giraldo A, S. (2005). Ecuaciones de Estado. Laboratorio de optica y ambiente UNIVERSIDAD DE SANTIAGO DE CHILE. http://ambiente.usach.cl/jromero/imagenes/Lista_Ecuaciones_de_Estado.pdf
    JoVE Science Education Database. General Chemistry. Ley del Gas ideal. JoVE, Cambridge, MA, (2020).
    Vega, J. (s. f.). GASES IDEALES. FENÓMENOS DE TRANSPORTE. Recuperado 18 de diciembre de 2020, de http://www.unet.edu.ve/%7Efenomeno/F_DE_T-50.htm

A list shows items. A timeline shows sequence.

Use Timetoast to make dates, milestones, and turning points easier to understand in a clear visual format. Timetoast is a timeline maker for work, school, research, and stories.