• 1ºsesión

    1ºsesión

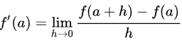
    Introducir la definición de derivada
  • 2ºsesión

    Mostrar la tabla de derivadas de las funciones elementales, para que los alumno se familiaricen con ellas.
  • 3ºsesión

    Practicar con ejemplos sencillos las derivadas de las distintas funciones mostradas en la tabla del día anterior.
  • 4ºsesión

    Introducir las reglas usuales de derivación, para que asi puedan elaborar todo tipo de derivadas.
  • 5ºsesión

    Al igual que se ha presentado la 1º derivada, hacer notar a los alumnos que pueden continuar derivando una función, esto se conoce como 2º derivada.
  • 6ºsesión

    Realizar ejercicios prácticos de todo lo visto en las sesiones anteriores para que los alumnos vaya cogiendo soltura con las derivadas.

A list shows items. A timeline shows sequence.

Use Timetoast to make dates, milestones, and turning points easier to understand in a clear visual format. Timetoast is a timeline maker for work, school, research, and stories.