- 
  
  En el manuscrito mas antiguo donde se encuentra la primera mención de la palanca y la posible primer ley de la mecánica(340 a. C) se cita al filosofo y matemático siracusano Arquimides(c.287 a.C-c.212 .aC) en donde dice " Dadme un punto de apoyo y moveré el mundo."
- 
  
  Costumbre helénica refiere a la reducción de los problemas mecánicos en citaciones estáticas.esto cambio totalmente la percepción y concepción del movimiento.
 Tercera ley de newton: Actioni contrariam semper & æqualem esse reactionem: sive corporum duorum actiones in se mutuo semper esse æquales & in partes contrarias dirigi. Con toda acción ocurre siempre una reacción igual y contraria: quiere decir que las acciones mutuas de dos cuerpos siempre son iguales y dirigidas en sentido opuesto.
- 
  
  Nacio del sincretismo del atomismo con el mecanicismo newtoniano. Entre las figuras asociadas a la teoría corpuscular aplicada al campo de la química el principal fue el británico Robert Faraday(1627-1691) y sus pretensiones de explicar todos los procesos químicos sobre las bases de fuerzas microscópicas-atractivas o repulsivas- entre los presuntos corpúsculos materiales.
- 
  
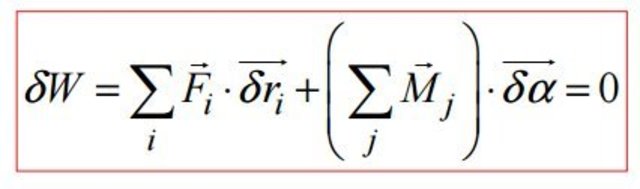
  El francés D' Alembert (1717-1783). Dado un sólido deformable impedido hacer movimientos de sólido rígido, es decir, con un número de grados de libertad no positivo, el principio de los trabajos virtuales establece que si inventamos un campo de desplazamientos, llamado campo de desplazamientos virtual, compatible con los enlaces existentes que impiden el movimiento de sólido rígido se cumplirá que el trabajo virtual externo y el trabajo virtual interno serán iguales.
- 
  
  La depuración de los últimos restos del alquimismo progreso gracias a la obra pionera de Antoine Laurent D Lavoissier(1743-1794) quien no solo propuso un sistema lógico de nomenclatura para elementos químicos sino también demostró experimentalmente la conservación de la materia en las reacciones químicas,su basta obra dio paso a que se reavivara el interés por la teoría atomista.
- 
  
  Dicha hipótesis recibió considerable respaldo debido a la obra del ingles Michael Faraday (1791-1867) gracias a sus investigaciones de los fenómenos eléctricos,Faraday estableció las leyes de la electrolisis en 1834 a partir de estudios experimentales sobre la descomposición de sustancias químicas a través de una corriente eléctrica.
- 
  
  El fisico William Thomson acuño la expresión (1882),en referencia a los estudios previos Hermann von Helmholtz(1821-1894),con respecto a la conservación de esta magnitud.
- 
  
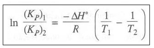
  La ecuación de van't Hoff(1852-1911) en termodinámica química relaciona la variación de la temperatura absoluta ( T) con la variación de la constante de equilibrio ( K) dado por la diferencia de entalpía ( Delta H). Esta ecuación fue propuesta inicialmente por el químico neerlandés Jacobus Henricus van 't Hoff (1852-1911) en 1884.Considerando las relaciones entre la energía libre de Gibbs y la constante de equilibrio.
- 
  
  Postulado en 1884 por Henri-Louis Le Châtelier (1850-1936), químico industrial francés, establece que: Si se presenta una perturbación externa sobre un sistema en equilibrio, el sistema se ajustará de tal manera que se cancele parcialmente dicha perturbación en la medida que el sistema alcanza una nueva posición de equilibrio.El término “perturbación” significa cambio de concentración, presión, volumen o temperatura que altera el estado de equilibrio de un sistema.
- 
  
  Si bien el estadounidense Gibbs, solo empleo en sus escritos el termino "potencial" y "potencial intrínseco" el nombre actual de "potencial químico" fue acuñado(1899) por el físico de la universidad de cornell Wilder Dwight Bancroft.
