Augustin Louis Cauchy

  • Nacimiento de Cauchy

    Nacimiento de Cauchy

    Augustin-Louis Cauchy nace el 21 de Agosto de 1789 en Paris, Francia
  • El padre de Cauchy huye de Paris

    El padre de Cauchy huye de Paris

    francesa. Cuando el reinado del terror barrió París en 1793, el padre de Cauchy, un funcionario gubernamental de alto rango, huyó con su familia a un pueblo en la campiña donde encontró a otros intelectuales que también habían preferido dejar la ciudad hasta que las cabezas dejaran de caer y la sangre dejara de fluir.
  • Cauchy se gradúa de la École Polytechnique

    Obtuvo su título de ingeniería en este año
  • Cauchy consigue su primer trabajo

    Cauchy consigue su primer trabajo en Cherbourg, trabajando en el puerto donde estaba la flota de Napoleón preparada para la invasión de Inglaterra
  • Cauchy es nombrado profesor

    Fue nombrado profesor de mecánica en la École Polytechnique en 1816
  • Cauchy establece la desigualdad de Cauchy

    Cauchy establece la desigualdad de Cauchy

    La desigualdad para sumas fue publicada por Augustin Louis Cauchy en 1821 en su libro de texto para los alumnos de la Escuela Politécnica de Francia.
  • La desigualdad de Bessel

    La desigualdad de Bessel

    Esta desigualdad fue descubierta por Friedrich Bessel en 1828. Para demostrar esta desigualdad se hace uso de la desigualdad de Cauchy-Bunyakovsky-Schwarz
  • Fallecimiento de Cauchy

    Fallecimiento de Cauchy

    Cauchy fallece el 23 de Mayo de 1857 en Sceaux, Francia
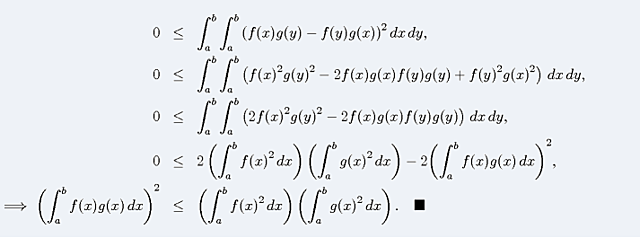
  • Desigualdad de integrales de Bunyakovsky

    Desigualdad de integrales de Bunyakovsky

    La correspondiente desigualdad planteada por Cauchy pero en este caso para integrales fue establecida por Viktor Yakovlevich Bunyakovsky en 1859
  • Desigualdad de Schwarz

    Desigualdad de Schwarz

    La desigualdad planteada por Bunyakovsky sería redescubierta por Hermann Schwarz en 1888
  • Espacios métricos

    Espacios métricos

    Maurice Fréche introduce los espacios métricos en su tesis doctoral en 1906. La desigualdad de Cauchy-Bunyakovsky-Schwarz se usa aquí para probar que el producto escalar es una función continua con respecto a la topología inducida por el mismo producto escalar.

Plan projects on a visual timeline

Map milestones, phases, deadlines, and key events in one place so the sequence is easier to see and share. Timetoast is a timeline maker for work, school, research, and stories.