You are not authorized to access this page.
Radarnetworkstowardsawebos

Этапы развития образовательных Интернет-технологий

By chayka
  • Рождение Интернета (ARPANET)

    Рождение Интернета (ARPANET)

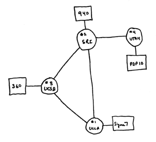
    ARPANET (от англ. Advanced Research Projects Agency Network) — компьютерная сеть, созданная в 1969 году в США и явившаяся прообразом сети Интернет.
  • World Wide Web

    World Wide Web

    Всемирная паутина
  • WEB 1.0

    WEB 1.0

    Web 1.0 — это общий термин, описывающий Интернет-технологии за первое десятилетие существования Интернет
  • Web 2.0

    Web 2.0

    WEB 2.0 - you tube<br><br> Web 2.0 - статьяТима О’Рейли «What Is Web 2.0»
  • WEB 3.0

    WEB 3.0

    web 3.0Web 3.0 - семантическая паутина (Semantic Web)