Werner Heisenberg

  • Birth

    Birth

    Werner Heisenberg was born December 5th 1901 in Wurzburg, Germany
  • High School

    Attended Maximilian School at Munich until 1920
  • College Education

    College Education

    Heisenberg attended The University of Munich to study Physics under Sommerfeld, Wien, Pringsheim, and Rosenthal
  • Study Physics

    Winter of 1922-1923 went to Gottingen to study Physics under Max Born, Franck, and Hilbert
  • Ph.D.

    Got his Ph.D. at University of Munich and become the assist to Max Born at the University of Gottingen
  • University Status

    He gained the prestige title of venia legendi at the University of Gottingen
  • Rockefeller Grant

    Worked with a Rockefeller Grant with Niels Bohr at the University of Copenhagen
  • Theory of Quantum Mechanics

    Published his Theory of Quantum Mechanics at 23 years of age
  • Matrix Mechanics

    Created Matrix Mechanics with Max Born and Pascual Jordan
  • Appointed Lecturer

    Appointed Lecturer

    Appointed Lecturer in Theoretical Physics at the University of Copenhagen under Niels Bohr
  • Heisenbrg Uncertainity

    Heisenbrg Uncertainity

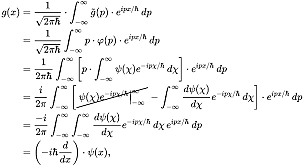
    Introduces in 1927 his Heisenberg Uncertainty Principal
  • Appointed Professor

    Appointed Professor of Theoretical Physics at University of Leipzig at the age of 26
  • Lecture Tour

    In 1929 Werner Heisenberg went on a lecture tour in United States, Japan, and India
  • Nobel Prize

    Awarded the Nobel Prize for Physics
  • Appointment

    Appointment

    Appointed Professor of Physics at the University of Berlin and Director of the Kaiser Wilheim Institute for Physics
  • United State's Lectures

    Invited to lecture in the United States in 1950 and 1955
  • Gifford Lectures

    gave the Gifford Lectures at the University of St. Andrew's in Scotland. These lecture would be subsequently published into book
  • Problems in Physics

    Worked on Problems of plasma physics and thermonuclear processes
  • Death

    Died February 1 1976

Want to make a timeline like this?

Use Timetoast to turn dates, events, milestones, and phases into a clear visual timeline you can build and share. Timetoast is a timeline maker for work, school, research, and stories.