QuimicaAnalitica_LineadelTiempo_EspinosaNolascoUrielAlejandro

  • Ley de la Palanca
    287 BCE

    Ley de la Palanca

    Fue la primera ley mecánica enunciada en la historia, en ella se daba un papel fundamental la condición de equilibrio. Fue escrita por Arquímedes.
  • Revolución científica
    1501

    Revolución científica

    Tuvo grandes avances en la mecánica, óptica y la astronomía. Poco más de un siglo tardó en transmitirse a otras áreas de la investigación:el calor, electricidad, acústica y química.
  • Tercera Ley de Newton

    Tercera Ley de Newton

    Introdujo una nueva simetría dinámica estipulando la igualdad de las fuerzas de acción y reacción entre dos cuerpos interaccionantes.
  • Fenómenos eléctricos

    Fenómenos eléctricos

    Faraday descubrió que un campo magnético influye sobre un haz de luz polarizada, fenómeno conocido como efecto Faraday o efecto magneto óptico.
  • Inducción electromagnética

    Inducción electromagnética

    Es el fenómeno que origina la producción de una fuerza electromotriz en un medio expuesto a un campo magnético variable, en un medio móvil respecto a un campo magnético estático no uniforme, o la variación de las lineas de campo que atraviesan dicha superficie mediante un giro.
  • Ley de Faraday-Henry

    Ley de Faraday-Henry

    Se constata que si el flujo magnético cambia de manera brusca, la intensidad de corriente eléctrica inducida aumenta. La variación del flujo magnético con respecto al tiempo es dada por la ley de Faraday.
  • Leyes de la electrólisis

    Leyes de la electrólisis

    Faraday estableció las leyes de la electrolisis a partir de una serie de estudios experimentales sobre el fenómeno de la descomposición de sustancias químicas por la acción de una corriente eléctrica.
  • Artículos

    Artículos

    En una serie de tres artículos publicados relacionaban la afinidad, o tendencia a la reacción de una sustancia no solo con su naturaleza química sino también con la cantidad presente de la misma.
  • Guldberg y Waage

    Guldberg y Waage

    Guldberg y Waage publicaron en sus tres artículos que las concentraciones de las especies participantes habrían de estar elevadas a un exponente igual al valor de sus coeficientes estereoquímicos.
  • Concentraciones de los reactivos

    Concentraciones de los reactivos

    Goldberg y Waage retomaron al caso general basando sus argumentos sobre la velocidad de reacción en una analogía con la teoría de colisiones de los gases, a la vez que conjeturaban la validez universal de la condición de equilibrio representada por el cociente de ambos coeficientes de afinidad.
  • Lord Kelvin

    Lord Kelvin

    Acuño la expresión de la conservación de la energía, "la energía no se crea ni se destruye, solo se transforma".
  • Principio de Le Châtelier

    Principio de Le Châtelier

    Establece que si un sistema en equilibrio se somete a un cambio de condiciones, este se desplazará hacia una nueva posición a fin de contrarrestar el efecto que lo perturbó y recuperar el estado de equilibrio.
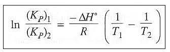
  • La ecuación de Van't Hoff

    La ecuación de Van't Hoff

    In(K2/K1) = ΔH0/R (1/T1 - 1/T2), proporciona información sobre la dependencia de la temperatura de la el constante de equilibrio. Esta ecuación fue propuesta en el año 1884 por Jacobus Henricus van't Hoff. Van't Hoff hizo grandes contribuciones a la química física, específicamente en la cinética química, la estereoquímica, y el equilibrio químico.
  • Van't Hoff

    Van't Hoff

    Llego independientemente a conclusiones similares a las de Guldberg y Waage.

A list shows items. A timeline shows sequence.

Use Timetoast to make dates, milestones, and turning points easier to understand in a clear visual format. Timetoast is a timeline maker for work, school, research, and stories.