precursores y aportaciones

  • ABABACO
    2000 BCE

    ABABACO

    Es un instrumento utilizado para realizar a mano cálculos aritméticos, principalmente sumas y restas. Suele consistir en un tablero o cuadro con alambres o surcos paralelos entre sí en los que se mueven bolas o cuentas.La época de origen del ábaco es indeterminada
  • TRATADO DE NAPIER
    Feb 28, 1570

    TRATADO DE NAPIER

    Ya en la década de 1570 escribió su primer tratado, en el que muestra diversos métodos eficientes de cálculo, describe notaciones más sencillas e investiga acerca de las raíces imaginarias de ecuaciones
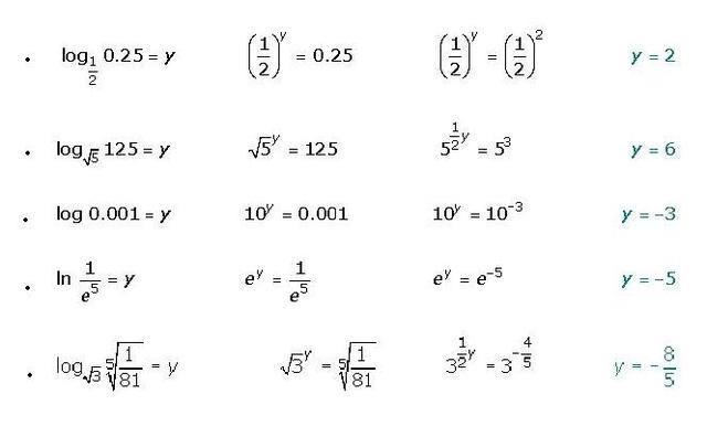
  • LOGARITMOS

    LOGARITMOS

    Napier fue el primero en definir los logaritmos.
  • EL HEXAGONO MISTICO DE PASCAL

    EL HEXAGONO MISTICO DE PASCAL

    Fue descubierto por Blaise Pascal en 1639 cuando solamente tenía dieciséis años.
  • PRIMERA MAQUINA DIGITAL DE CALCULAR

    PRIMERA MAQUINA DIGITAL DE CALCULAR

    La pascalina fue la primera calculadora que funcionaba a base de ruedas y engranajes, inventada en 1642 por el filósofo y matemático francés Blaise Pascal
  • CALCULO INTEGRAL

    CALCULO INTEGRAL

    De acuerdo con los cuadernos de Leibniz, el 11 de noviembre de 1675 tuvo lugar un acontecimiento fundamental, ese día empleó por primera vez el cálculo integral para encontrar el área bajo la curva de una función y=f(x)
  • APORTACIONES DE BABBAGE

    En 1812, Babbage funda la Sociedad Analítica. La tarea primordial de esta sociedad, conducida por el estudiante Robert Woodhouse, era promover el cálculo leibniziano, o cálculo analítico, sobre el estilo de cálculo newtoniano
  • APORTACIONES DE ADA LOVELACE

    APORTACIONES DE ADA LOVELACE

    A una edad temprana, su talento matemático la condujo a una relación de amistad prolongada con el matemático inglés Charles Babbage, y concretamente con la obra de Babbage sobre la máquina analítica
  • APORTACIONES DE ADA LOVELACE

    APORTACIONES DE ADA LOVELACE

    Las Notas fueron etiquetadas alfabéticamente de la A a la G. La nota G estaba dedicada a los números de Bernoulli, en este apartado Ada describe con detalle las operaciones mediante las cuales las tarjetas perforadas "tejerían" una secuencia de números en la máquina analítica

Plan projects on a visual timeline

Map milestones, phases, deadlines, and key events in one place so the sequence is easier to see and share. Timetoast is a timeline maker for work, school, research, and stories.