Imagen1

Número Áureo

  • Primera definición - Euclides
    300 BCE

    Primera definición - Euclides

    Euclides (300-265 a.C. - matemático griego) hizo un estudio formal de la sección aurea citándola en el libro VI de los Elementos y es así como lo plantea:
    «Se dice que una recta está dividida en extrema y
    media razón, cuando la totalidad del segmento es al
    segmento mayor como el segmento mayor es al menor»
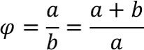
    Definición del Número Áureo
  • 1202

    Sucesión de Fibonacci

    Si se denota el enésimo número de Fibonacci como Fn, y al siguiente número de Fibonacci como Fn+1, descubrimos que, a medida que n aumenta, esta razón oscila y es alternativamente menor y mayor que la razón áurea.
  • Canon de belleza
    1490

    Canon de belleza

    Se trata de un dibujo realizado por Leonardo da Vinci en 1490 para ilustrar las proporciones humanas del Libro la Divina Proporción de Luca Paccioli, en el que aparece un hombre desnudo de pie en dos posiciones distintas y sobreimpresas.
    Se refiere a la proporcionalidad anatómica del cuerpo humano en busca del modelo del ideal de belleza que también representa salud y bienestar.
  • Arte
    1503

    Arte

    La construcción, la pintura, el diseño durante siglos se han hecho eco de lo que naturaleza nos brinda como canon de belleza, y este no es otro que el número áureo. Ayudados de rectángulos áureos, de la espiral logarítmica, de la estrella pitagórica, los artistas de la antigüedad, los del renacimiento, incluso los actuales han alumbrado obras de gran valor estético y artístico.
    Arma tu propio rectángulo áureo
  • Teoría de la Propoción Divina
    1509

    Teoría de la Propoción Divina

    Luca Pacciolli (1445-1514), matemático franciscano, en 1509 publica La Proporción Divina, en el que explica por qué la considera divina y son:
    1.- La unicidad.
    2.- Lo asociara con la santísima Trinidad.
    3.- La inconmensurabilidad, equivalencia entre la proporción aurea y Dios.
    4.- La autosimiralidad, la compara con la omnipresencia e invariabilidad de Dios
    5.- Dios creó el universo a partir de la quinta esencia, representada por el dodecaedro, así la proporción aurea creo al dodecaedro.
  • Arquitectura

    Arquitectura

    La Gran Pirámide de Keops que data de 2600 a.C., la catedral de Notre-Dame construida en Francia, la fachada de la Basílica del Voto Nacional de Quito, el Edificio de la Naciones Unidas en New York, el estadio Santiago Bernabéu del Real Madrid y tantos otros que han sido construidos tomando como referencia la proporción aurea.
  • Aplicaciones al dia de hoy

    Aplicaciones al dia de hoy

    Uno de los usos que se le da al Número áureo o proporción áurea la podemos encontrar en el diseño gráfico en los logotipos de productos como National Geographic, Toyota, en las circunferencias que forman el logo de Apple, en el logo de Pepsi, del Grupo Boticario empresa dedicada a productos de belleza, cosméticos un claro ejemplo de que el logo de un producto debe guardar estrecha relación con lo que vende. Belleza = Numero áureo.

Plan projects on a visual timeline

Map milestones, phases, deadlines, and key events in one place so the sequence is easier to see and share. Timetoast is a timeline maker for work, school, research, and stories.