
Métodos algoritmo de mínima expansión, ruta más corta, algoritmo de Dijkstra y algoritmo de Floyd.
By jgenes
-
El algoritmo de mínima expansión, también conocido como algoritmo de Kruskal, se utiliza para encontrar el árbol de expansión mínima en un grafo ponderado. Este algoritmo se basa en la idea de seleccionar aristas de menor peso de forma progresiva hasta que se forme un árbol que conecte todos los vértices sin formar ciclos. Esto garantiza que la suma de los pesos de las aristas seleccionadas sea mínima.
-
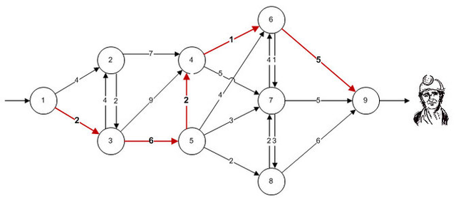
La ruta más corta se refiere al camino con la menor longitud o costo entre dos vértices en un grafo ponderado. Existen varios algoritmos para encontrar la ruta más corta, pero uno de los más comunes es el algoritmo de Dijkstra.
-
El algoritmo de Dijkstra se utiliza para encontrar la ruta más corta entre un vértice de origen y todos los demás vértices en un grafo ponderado dirigido o no dirigido. Este algoritmo utiliza una estrategia de "exploración gradual" para determinar la distancia más corta desde el vértice de origen a cada uno de los demás vértices.
-
El algoritmo de Floyd se utiliza para encontrar las rutas más cortas entre todos los pares de vértices en un grafo ponderado dirigido o no dirigido. Este algoritmo utiliza una matriz para almacenar las distancias entre los vértices y actualiza esta matriz iterativamente para encontrar las distancias más cortas.