Gg

La unificación de luz, electricidad y magnetismo

  • La primera descripción exhaustiva del magnetismo

    A diferencia de lo que sucede con las cargas eléctricas los polos magnéticos siempre se presentan de dos en dos. No es posible tener un polo norte o un polo sur aislados y si se parte un imán para intentar separar sus polos, se obtienen dos imanes, cada uno de ellos con una pareja de polos norte y sur de igual intensidad. De estos experimentos se puede concluir que no existen monopolos magnéticos libres o que, al menos, hasta el momento no han sido encontrados.
  • El principio de Huygens-Fresnel

    El principio de Huygens-Fresnel

    El principio de Huygens-Fresnel permite calcular los patrones de difracción generados por obstáculos y aberturas y explicar de forma satisfactoria la propagación rectilínea en medios homogéneos, eliminando así la objeción principal de Newton para la teoría ondulatoria. Poco a poco, los argumentos a favor de la teoría ondulatoria de la luz terminaron por lograr su aceptación universal
  • Característica de ambas electricidades

    En 1734 Dufay estableció que «la característica de ambas electricidades es que un cuerpo cargado con electricidad vítrea repele a todos los demás cargados con la misma electricidad y, por el contrario, atrae a los que poseen electricidad resinosa» . Por aquella época la electricidad se almacenaba en un dispositivo denominado botella de Leyden desarrollada por Pieter van Musschenbroek , profesor de matemáticas de la ciudad de Leyden.
  • Benjamin Franklin y su interés por la física

    A la edad de cuarenta años, concluyó que sólo existe un tipo de fluido eléctrico ,en vez de dos como se admitía hasta entonces, y dos tipos de estados de electrización, una como la del vidrio y otra como la del ámbar, y llamó a la primera positiva y a la segunda negativa.
    Identificó el rayo como una descarga eléctrica después de enviar cometas a las nubes tormentosas para recoger electricidad de ellas
  • Coulomb estudió las fuerzas

    Coulomb estudió las fuerzas entre polos magnéticos y propuso la ecuación de la fuerza entre polos magnéticos semejante a la fuerza electrostática entre cargas eléctricas y la fuerza gravitatoria entre masas gravitatorias. La ley que rige las fuerzas de atracción y repulsión entre las cargas eléctricas y los polos magnéticos fue publicada en 1785 en un trabajo titulado «Segunda memoria sobre la electricidad y el magnetismo»
  • La invención de la pila eléctrica por Volta

    La invención de la pila eléctrica por Volta

    El científico inventó la denominada Pila de Volta, precursora de la batería eléctrica. Su trabajo resultó crucial para la historia de la ciencia, ya que, por primera vez, logró que se produjera un flujo estable de electricidad. La invención en 1800 de la pila eléctrica por Volta hizo entrar en ebullición al mundo científico al hacer posible trabajar con fuentes permanentes de «fluido eléctrico» .
  • Principio de Interferencia

    Principio de Interferencia

    Se denominaba que la interferencia es un fenómeno en el que dos o más ondas se superponen para formar una onda resultante de mayor, menor o igual amplitud. El efecto de interferencia puede ser observado en todos los tipos de onda, como ondas de luz, radio, sonido, entre otros.
  • Galvanismo, el estudió el efecto de la electricidad sobre los animales

    Galvanismo, el estudió el efecto de la electricidad sobre los animales

    Volta quien interpretó que los dos metales juntos de los experimentos de Galvani producían la corriente eléctrica después de sumergirlos en una solución salina y las ancas de rana sólo reaccionaban ante ella. Volta llamó «galvanismo» a este fenómeno y hacia 1800 fue capaz de producir una corriente eléctrica con una pila de discos de estaño o zinc y cobre o plata alternados y separados por otros de cartón impregnados de una solución de sal
  • Potencial eléctrico

    Potencial eléctrico

    Pierre Simon de Laplace introdujo el concepto de «potencial eléctrico» y en 1811 lo aplicó a la distribución de electricidad sobre una superficie en su obra «Memoria sobre la distribución de la electricidad sobre la superficie de los cuerpos conductores». Poisson siguió pensando en términos de dos fluidos eléctricos aunque realmente estaba más interesado en la formalización matemática de las fuerzas entre cuerpos electrificados que la explicación física de los dos fluidos
  • Oersted y el experimento

    Oersted y el experimento

    El experimento consistía en el paso de una corriente eléctrica, desviaba una aguja imantada situada en su cercanía. Había descubierto que una corriente eléctrica produce efectos magnéticos. Este cable lo conectó a una pila eléctrica y al cerrar el circuito comprobó que la aguja de la brújula se desviaba de su dirección original situándose perpendicular al cable, es decir, en la dirección este-oeste.
  • Ampere y su conclusión

    Definitivamente, Ampère fue un genio y otro genio del siglo XIX, James Clerk Maxwell, llegó a denominar a Ampère con gran admiración «el Newton de la electricidad» . Durante el verano de 1821 repitió el experimento de Oersted y llegó a la conclusión de que si una corriente eléctrica produce efectos magnéticos sobre una varilla imantada porque no podría producir efectos magnéticos sobre otra corriente
  • Ley de Biot-Savart

    Ley de Biot-Savart

    En 1822 inventa el solenoide y estudia la interacción mutua entre parejas de solenoides y llega a la conclusión de que el comportamiento de un solenoide es análogo al de un imán recto, una prueba más de las relaciones entre el magnetismo de los imanes con las acciones magnéticas de las corrientes eléctricas
    un hilo conductor muy largo, teóricamente infinito, recorrido por una corriente eléctrica produce en cualquier punto del espacio un efecto inversamente proporcional a su distancia al hilo
  • Ley de Ohm

    Ley de Ohm

    Georg Simon Ohm aplicó al fenómeno de la electricidad por un alambre algunos descubrimientos hechos por Fourier sobre la propagación del calor, mediante una analogía entre la corriente eléctrica y la transmisión del calor. Obtuvo la relación entre diferencia de potencial, intensidad de corriente y resistencia conocida como ley de Ohm. Se observó que el efecto de atraer pequeños trocitos de hierro era más pronunciado en ciertas zonas del imán llamadas polos magnéticos .
  • Publicación de el libro de Ampere

    Publicación de el libro de Ampere

    En 1827 se publica su libro «La teoría matemática de los fenómenos electrodinámicos deducida únicamente de la experiencia» , obra clásica de la historia de la física y verdadero testimonio de la gran contribución realizada por Ampère desde 1820 en el campo del electromagnetismo. En este libro, a partir de una serie de experimentos muy ingeniosos trata de evidenciar que «el magnetismo es electricidad en movimiento» .
  • El primer descubrimiento de Faraday

    El primer descubrimiento de Faraday

    Al repetir el experimento de Oersted Faraday comprobó que la fuerza ejercida por las corriente sobre el imán era de naturaleza circular.,en 1831 consiguió producir una corriente eléctrica a partir de una acción magnética, fenómeno que se conoce como inducción electromagnético. El éxito de Faraday demostró su dominio de la técnica experimental 1831 comprobó que cuando se hacía pasar una corriente eléctrica por una bobina, se generaba otra corriente de muy corta duración en otra bobina cercana.
  • Efecto magneto-óptico

    Efecto magneto-óptico

    Otro de los efectos descubiertos por Faraday, quizás menos conocidos, es el de la influencia de un campo magnético sobre un haz de luz polarizada, fenómeno conocido como efecto Faraday o efecto magneto-óptico . Faraday llegó a escribir en relación a este fenómeno que "este hecho probablemente será sumamente fecundo y de gran valor en la investigación de ambas clases de fuerzas naturales"
  • Las líneas de fuerza de Faraday

    Las líneas de fuerza de Faraday

    Las ecuaciones de Maxwell desempeñan en el electromagnetismo clásico un papel análogo a las leyes de Newton en la mecánica clásica y proporcionan una base teórica completa para el tratamiento de los fenómenos electromagnéticos clásicos.
    Las explicaciones de Faraday sobre los fenómenos eléctricos y magnéticos en función de la distribución de líneas hipotéticas de fuerza en el espacio. Para representar su teoría Maxwell creó un complejo modelo mecánico de vórtices moleculares y ruedas intermedias
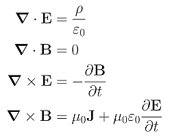
  • Las ecuaciones de Maxwell

    Las ecuaciones de Maxwell

    Las ecuaciones de Maxwell son un conjunto de cuatro ecuaciones (originalmente 20 ecuaciones) que describen por completo los fenómenos electromagnéticos. La gran contribución de James Clerk Maxwell fue reunir en estas ecuaciones largos años de resultados experimentales, debidos a Coulomb, Gauss, Ampere, Faraday y otros, introduciendo los conceptos de campo y corriente de desplazamiento, unificando los campos eléctricos y magnéticos en un solo concepto: el campo electromagnético
  • Síntesis de las ecuaciones

    En 1884 Oliver Heaviside , con la ayuda de Williard Gibbs , sintetizó estas ecuaciones en las cuatro ecuaciones de Maxwell tal y como se conocen hoy en día . Estas ecuaciones son la ley de Faraday-Henry de la inducción electromagnética y la ley de Ampére-Maxwell, en la que la contribución de Maxwell fue fundamental al incluir el término que él denominó "corriente de desplazamiento" y que permite concluir que un campo eléctrico variable con el tiempo puede dar lugar a un campo magnético.
  • Existencia de partículas con carga eléctrica positiva y negativa

    Existencia de partículas con carga eléctrica positiva y negativa

    Lorentz, a partir de 1892, propuso la existencia de partículas con carga eléctrica positiva y negativa y consideró que una corriente eléctrica se debe al movimiento de cargas, introduciendo de este modo el carácter corpuscular para la electricidad
    También propuso que un campo electromagnético ejerce una fuerza sobre una carga que se mueve dentro de él con una velocidad , suma de la fuerza eléctrica y la fuerza magnética
  • Teoría de la relatividad especial

    Teoría de la relatividad especial

    Surge de la observación de que la velocidad de la luz en el vacío es igual en todos los sistemas de referencia inerciales y de obtener todas las consecuencias del principio de relatividad de Galileo.
    La teoría es "especial", ya que solo se aplica en el caso especial/particular donde la curvatura del espacio-tiempo producida por acción de la gravedad es irrelevante
  • Creada por Jair Romero Luna del Grupo 1IV24