Conocer historia isaac newton xlsemanal 2 1024x672

Isaac Newton y sus aportaciones a la fisica

  • Nacimiento de Isaac Newton

    Nacimiento de Isaac Newton

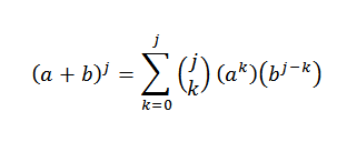
  • Teorema del Binomio

    Teorema del Binomio

    Descubrió el teorema del binomio y desarrollo los principios del calculo diferencial e integral.
  • La gravedad

    La gravedad

    Primeras ideas sobre la ley de gravitación universal.
  • Telescopio reflector

    Telescopio reflector

    Newton presento su telescopio reflector que utilizaba espejos cóncavos y convexos.
  • Método de fluxiones

    Método de fluxiones

    Escribe el método de fluxiones y delas series infinitas.
  • Propiedades de la luz

    Propiedades de la luz

    Lectura en la Royal Society de su hipótesis sobre las propiedades de la luz.
  • Philosophiæ Naturalis Principia Mathematica

    Philosophiæ Naturalis Principia Mathematica

    Las leyes del movimiento fueron formuladas por Isaac Newton en su obra: Philosophiæ Naturalis Principia Mathematica.
  • Óptica

    Óptica

    Se publica la primera edición de la óptica o tratado de las reflexiones, refracciones, inflexiones y colores de la luz.
  • Segunda Edicion de philosophiæ naturalis principia mathematica

    Segunda Edicion de philosophiæ naturalis principia mathematica

  • Segunda edición de la óptica

    Segunda edición de la óptica

  • Fallecimiento de Isaac Newton

    Fallecimiento de Isaac Newton