Pc viejo

historia de las computadoras

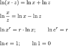
  • logaritmo neperiano

    logaritmo neperiano

    simplifico el calculo de multiplicaciones y divisiones, reduciendolo a un calculo de sumas y restas.
  • regla de calculo

    regla de calculo

    instrumento manual utilizado para hacer operaciones aritméticas.
    creada por edmun gunter.
  • la pascalina

    la pascalina

    Blaise pascal creo una maquina de sumar a base de ruedas dentadas.0
  • maquina de multiplicacion/division

    maquina de multiplicacion/division

    fue inventada por Gottfried Wilhelm Leibniz
  • invencion de la tarjeta perforada

    invencion de la tarjeta perforada

    creada para modifica el comportamiento de una maquina tejedora por Joseph Jacquard
  • maquina tabuladora

    maquina tabuladora

    creada por herman Nollerit es una maquina electromecánica capaz de leer y sumar 40 columnas.
    en 1896 fundo la compañía previa a lo que después seria IBM.
  • maquina de turing

    maquina de turing

    propuesto por Alan turing, formaliza los conceptos de algoritmo computable con la creación de su maquina.
  • 1er computadora electromecanica

    1er computadora electromecanica

    creada por Konrad Zuse, era programable mediante cinta perforada usaba sistema binario, logica booleana.
  • Colossus Mark 1

    Colossus Mark 1

    desarrollada para descifrar las comunicaciones alemanas en la 2da guerra mundial,
  • ENIAC

    ENIAC

    creada en la universidad de pensilvania, capaz de realizar 5 mil sumas por segundo, es considerada la primer computadora digital.
  • computador EDVAC

    computador EDVAC

    concebida por John von neumann, fue la segunda computadora programable con codigo binario contaba con un programa de almacenamiento
  • IBM 650

    IBM 650

    IBM lanza su primer computadora de uso industrial, utilizaba el lenguaje ensamblado para computadoras están conformadas por transistores.
  • IBM 701

    IBM 701

    se utilizaban tarjetas perforadas para introducir datos.
  • RAMAC

    RAMAC

    IBM lanza su primer sistema de disco magnetico conformado por 50 discos de metal, de 100 pistas por lado, ea capaz de guarda hasta 5 megabites de informacion.
  • circuitos integrados

    circuitos integrados

    abarata costos, aumentan la capacidad de procesamiento, estan construidas en pastillas de silicio donde se colocan componentes electronicos en un minimo espacio.
  • mac II

    mac II

    El segundo modelo de computador personal lanzado por apple destinado al uso común
  • windows1.0

    windows1.0

    microsoft lanza su linea de software conocida como windows.
  • www

    www

    World wide web, la siguiente forma de interacción entre computadoras a partir de hipertexto conectadas via Internet.
  • PDA

    PDA

    comienzan a aparece los primeros intentos de ordenadores o computadores de bolsillo.
  • abaco

    abaco

    el primer articulo cuyo propósito es calcular

A list shows items. A timeline shows sequence.

Use Timetoast to make dates, milestones, and turning points easier to understand in a clear visual format. Timetoast is a timeline maker for work, school, research, and stories.