Ciclo hid

Historia de la Hidrología

  • Obras hidráulicas antiguas
    3000 BCE

    Obras hidráulicas antiguas

    Civilizaciones antiguas como Mesopotamia y Egipto empezaron la construcción de obras para el control de agua y evitar desbordamientos o para mejorar la productividad agrícola https://goo.gl/rTo8um
  • Primeras mediciones y registros
    900 BCE

    Primeras mediciones y registros

    Las civilizaciones asiáticas, generaron una aproximación de mediciones, para lo cual llevaron registros sistemáticos de precipitaciones, caída de nieve y viento, llegando a un acercamiento a lo que es la teoría sobre el ciclo hidrológico actual.
  • Obras hidráulicas por el régimen irregular de lluvias
    200 BCE

    Obras hidráulicas por el régimen irregular de lluvias

    El régimen irregular de lluvias en Grecia, fomentó la construcción de depósitos, pozos y cisternas, en múltiples ciudades y colonias, como la cisterna del teatro de Delos. El laberinto del Minotauro. Sir Arthur Evans, el arqueólogo del mito. J. A. MacGillivray. Edhasa, Barcelona, 2006, pág 98.
    https://goo.gl/EiaS1Y
  • Marcus Vitruvius
    100

    Marcus Vitruvius

    Describió una teoría filosófica del ciclo hidrológico. Decía que la precipitación que cae en las montañas se infiltra en la superficie de la tierra y provoca corrientes y brotes en las tierras bajas. https://goo.gl/fVkcLC
  • Period: Jan 1, 1400 to

    Etapa del renacimiento

    Leonardo de Vinci y Bernard Palissy ampliaron la concepción del ciclo hidrológico (aún por mera observación y análisis) relacionando lluvia e infiltración a manantiales. https://goo.gl/rTo8um
  • Elementos para considerarla como ciencia

    Elementos para considerarla como ciencia

    Ya existían casi todos los elementos necesarios para fundar la hidrología, pero no se reconocía como ciencia específica. Aparicio M., F., Javier, Fundamentos de Hidrología de Superficie, ed Limusa, México, 1989.
  • Pierre Perrault y su obraDe l’origne des fontaines

    Pierre Perrault y su obraDe l’origne des fontaines

    Publicación de De l’origne des fontaines por Pierre Perrault donde demuestra con evaluaciones cuantitativas que las precipitaciones y las nevadas son la causa del flujo en los ríos. Marca la pauta para reconocer universalmente el ciclo hidrológico en su interpretación moderna. Aparicio M., F., Javier, Fundamentos de Hidrología de Superficie, ed Limusa, México, 1989.
  • Edmund Halley

    Edmund Halley

    El inglés Edmund Halley, más conocido como astrónomo, midió experimentalmente la evaporación, llegando a la conclusión de que el agua evaporada de los mares era suficiente para producir la lluvia que alimenta los ríos. https://goo.gl/uc6RDA
  • Jean Charles de Borda

    Jean Charles de Borda

    Jean Charles de Borda a partir de sus mediciones, sospechó de la existencia de una relación entre la dirección y la fuerza del viento, y la presión atmosférica. https://goo.gl/KUrygG
  • Inicios de la Hidrología

    Inicios de la Hidrología

    Se desarrolló la hidrología de agua subterránea, con la ley de Darcy, la fórmula de Dupuit-Thiem y la ecuación del flujo capilar de Hagen-Poiseuille. https://goo.gl/fVkcLC
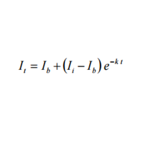
  • Ecuaciones de infiltración de Horton

    Ecuaciones de infiltración de Horton

    Una de las primeras ecuaciones de infiltración fue desarrollada por Horton, quien a partir de experimentos de campo, estableció, para el caso de un suelo sometido a una precipitación con intensidad siempre superior a la capacidad de infiltración, una relación empírica para representar el declive de la infiltración con el tiempo puede ser presentada como la imagen lo muestra. https://goo.gl/IDA0VL
  • Emil Julius Gumbel

    Emil Julius Gumbel

    Emil Julius Gumbel propuso la ley de valor extremo para estudios hidrológicos. https://goo.gl/uY1XdD
  • Pierre Perrault

    Pierre Perrault

    Se acepta la obra de Pierre Perrault como principio de la hidrología científica y se celebra el tricentenario de la obra. Aparicio M., F., Javier, Fundamentos de Hidrología de Superficie, ed Limusa, México, 1989.

A list shows items. A timeline shows sequence.

Use Timetoast to make dates, milestones, and turning points easier to understand in a clear visual format. Timetoast is a timeline maker for work, school, research, and stories.