Chemistry Timeline

  • Civil War

    Civil War

    The Civil war broke out in South Carolina on April 12th, 1861. It ended in the spring of 1865.
  • Gettysburg Address

    Gettysburg Address

    The Gettysburg Address was delivered by Lincoln during the American Civil War, on the afternoon of Thursday, November 19, 1863, at the dedication of the Soldiers' National Cemetery in Gettysburg, Pennsylvania, four and a half months after the Union armies defeated those of the Confederacy at the Battle of Gettysburg.
  • President Lincoln assassinated

    President Lincoln assassinated

    Abraham Lincoln was the 16th president of the United States, serving from March 1861 until his assassination in April 1865.
  • Law of Octaves

    Law of Octaves

    John Alexander Reina Newland discovered the Periodic Table and arranged all known elements in a tabular form on the basis of their atomic weight.
  • Andrew Johnson impeached

    Andrew Johnson impeached

    Vice President Johnson had assumed office after John Wilkes Booth assassinated Abraham Lincoln, on April 15, 1865. Johnson was impeached in 1868. He was the first president to be impeached.
  • Periodic Table

    Periodic Table

    The periodic table, discovered by Dimitri Mendeleev, is a tabular arrangement of the chemical elements, organized on the basis of their atomic number (number of protons in the nucleus), electron configurations, and recurring chemical properties.
  • Discovery of the Proton

    Discovery of the Proton

    Eugen Goldstein discovered canal rays (also known as anode rays) and showed that they were positively charged particles (ions) produced from gases.
  • Discovery of the Electron

    Discovery of the Electron

    The British physicist J. J. Thomson, with his colleagues John S. Townsend and H. A. Wilson,[13] performed experiments indicating that cathode rays really were unique particles, rather than waves, atoms or molecules as was believed earlier.
  • Beginning of the Spanis American war

    Beginning of the Spanis American war

    On April 25, 1898 the United States declared war on Spain following the sinking of the Battleship Maine in Havana harbor on February 15, 1898. The war ended with the signing of the Treaty of Paris on December 10, 1898. As a result Spain lost its control over the remains of its overseas empire -- Cuba, Puerto Rico, the Philippines Islands, Guam, and other islands.
  • Plum Pudding Model

    Plum Pudding Model

    The plum pudding model was a model of the atom that incorporated the recently discovered electron, and was proposed by J. J. Thomson.
  • Rutherford's Gold Foil Experiment

    Rutherford's Gold Foil Experiment

    In 1909, two researchers in Ernest Rutherford's laboratory at the University of Manchester, Hans Geiger and Ernest Marsden, fired a beam of alpha particles at a thin metal foil.
  • Titanic Disaster

    Titanic Disaster

    RMS Titanic was a British passenger liner that sank in the North Atlantic Ocean in the early morning of April 15th, 1912 after colliding with an iceberg during her maiden voyage from Southampton, UK to New York City, US. The sinking of Titanic caused the deaths of more than 1,500 people in one of the deadliest peacetime maritime disasters in modern history.
  • Bohr’s planetary model of the atom

    Bohr’s planetary model of the atom

    The Rutherford–Bohr model or Bohr model, introduced by Niels Bohr in 1913, shows the atom as a small, positively charged nucleus surrounded by electrons that travel in circular orbits around the nucleus which is similar in structure to the solar system.
  • Atomic Number

    Atomic Number

    Moseley measured the wavelengths of the innermost photon transitions (K and L lines) produced by the elements from aluminum (Z = 13) to gold (Z = 79) used as a series of movable anodic targets inside an x-ray tube
  • Beginning of WWI

    Beginning of WWI

    World War I was a global war centred in Europe that began on the 28 of July 1914 and lasted until 11 November 1918. More than 9 million combatants and 7 million civilians died as a result of the war.
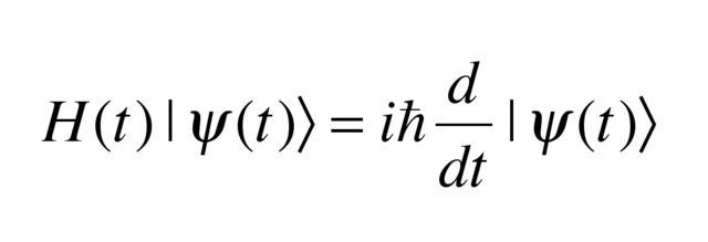
  • Schrödinger Equation

    Schrödinger Equation

    The Schrödinger equation is a partial differential equation that describes how the quantum state of a physical system changes with time. It was formulated in late 1925, and published in 1926, by the Austrian physicist Erwin Schrödinger.
  • The Great Depression

    The Great Depression

    The Great Depression was a severe worldwide economic depression in the decade preceding World War II. The timing of the Great Depression varied across nations, but in most countries it started in 1930 and lasted until the late 1930s or middle 1940s.
  • Discovery of the Neutron

    Discovery of the Neutron

    James Chadwick used scattering data to calculate the mass of this neutral particle.
  • Beginning of WWII

    Beginning of WWII

    World War II was a global war that lasted from 1939 to 1945, though related conflicts began earlier. It involved the vast majority of the world's nations—including all of the great powers—eventually forming two opposing military alliances: the Allies and the Axis. It was the most widespread war in history, and directly involved more than 100 million people, from more than 30 different countries.
  • Great San Fransico earthquake

    Great San Fransico earthquake

    The 1989 Loma Prieta earthquake occurred in northern California on October 17 at 5:04 p.m. local time. The shock was centered in a sparsely populated area approximately 10 miles northeast of Santa Cruz on a section of the San Andreas Fault System and was named for the nearby Loma Prieta peak in the Santa Cruz Mountains.