Img 2120

Chemistry Timeline 10/3/2017

  • Beginning of The Civil War

    Beginning of The Civil War

    On April 12, 1861, Confederate Troops attacked the Union Base, Fort Sumter. This was a vital moment in American History for it marked the beginning of The Civil War. The Confederates attacked the base by getting rid of trade and contact with the north. Because the base did not have supplies, it was forced to surrender. Sadly, the Union Troops were then put into POW camps.
  • Gettysburg Address

    Gettysburg Address

    On November 19, 1863, President Abraham Lincoln gave The Gettysburg Adress. He did this at the military cemetery in Gettysburg. The speech was only around two minutes long but it was well written. When the speech was over Union Soldiers realized why they were fighting and were motivated to fight longer.
  • Law of Octaves

    Law of Octaves

    In 1865, John Newlanss proposed The Law of Octaves. The Law of Octaves states that elements with similar atomic weights have similar properties to elements in intervals of eight. For example, Lithium (3) is very similar to Sodium (11). New land was the first person to find patterns in the properties of elements.
  • President Lincoln Assasinated

    President Lincoln Assasinated

    President Abraham Lincoln was with his wife at Fords Theater in Washington D.C. on April 14, 1865. However, he did not leave the theater for he was assasinated by the actor John Wilkes Booth. John Wilkes Booth believd that killing Abraham Lincoln would cause The Confederacy to secede once again. He did not work alone at the same time his partners attempted to assasinate The Vice President and The Secretary of War, but were unsuccessful.
  • Impeachment of Andrew Johnson

    Impeachment of Andrew Johnson

    Andrew Johnson was impeached on February 24, 1868. He was impeached because he has fired The Secretary of War, Edwin Stanton. This action had officially broken The Tenure of Office act, which gave congress precedent for impeaching Andrew Johnson. When faced with trial in the senate, however, Andrew Johnson spared by one vote. B
  • Mendeleev's Periodic Table

    Mendeleev's Periodic Table

    In 1869, Dmitri Mendeleev developed his periodic table. He based his periodic table off of the Law of Octaves and had many of his elements ordered in similar sections. He ordered them in order of Atomic weight (least to greatest). Contrary to the current periodic table, Mendeleev's table had gaps for elements that were for elements not discovered yet and his periodic table did not have a seperate section for transition metals.
  • Discovery of The Electron

    Discovery of The Electron

    In 1897, John Thomson, a British physicist discovered the electron. The electron is a particle that has a negative charge and counteracts the positive charge of protons. Electrons also orbit the nucleus of an atom. Thomson discovered the electron in his tests with Cathode Rays.
  • Beginning of The Spanish American War

    Beginning of The Spanish American War

    On April 25, 1898, Cuban Revolutionaries attempted to win their independence from Spain. To the Cuban's surprise, the U.S. had The Monroe Doctrine. The Monroe Doctrine forced European Countries to allow the Western Hemisphere to develop independently. The war began because Spain did not agree to Cuba's independence and the U.S was forced to go to war with Spain due to the rules of The Monroe Doctrine.
  • Plum Pudding Model

    Plum Pudding Model

    The Plum Pudding Modle was first proposed by JJ Thomson in 1904. His idea was that the atom was positively charged and that electrons were in it that made the atom neutral. This model was created after the cathode rey expieriment. This expieriment was used by JJ Thomson in order to discover the electron.
  • Great San Francisco Earthquake

    Great San Francisco Earthquake

    On April 18, 1906, a massive earthquake hit Northern California. The magnitude of this earthquake is said to be around 7.8. If the earthquake wasn't already scary enough, it also ruptured gas mains which also caused fires to spread all around San Francisco. The Great San Francisco earthquake is one of the largest earthquakes in history.
  • Rutherford' Gold Foil Expieriment

    Rutherford' Gold Foil Expieriment

    In 1909, Physicist Ernest Rutherford did his Gold Foil Expieriment. He did this by shooting a beam of alpha particles at a sheet of gold foil. Particles then deflected of of this gold sheet. This proved that an atom had a nucleus becasue the density of the nucleus was causing a reflection.
  • Discovery of The Proton

    Discovery of The Proton

    The Proton was discovered in 1909 by Ernest Rutherford. The Proton was discovered during his goldfield expieriment. Becasue most of the particles passed through the foil without deflection, he theorized that protons must be deflecting since they are a larger particle. He was also able to determine the existence of a nuclei in his model.
  • Titanic Disaster

    Titanic Disaster

    The Titanic was a wonder of engineering, the biggest ship of its time. Thought unsinkable, actually nicknamed such, It sailed off with its passengers safely. Sadly, On April 14, 1912 the ship ran into an iceberg. A hole had been torn in the bottom of the ship and it began to flood, and eventually it sank. The total death toll was 1,503 people, a tragic disaster.
  • Moseley/ Atomic Numbers

    Moseley/ Atomic Numbers

    In 1913, Henry Moseley learned found a pattern in the elements and was able to form Atomic Numbers. Henry took the properties of X-rays from around eleven different elements. He realized that if the wavelength was shorter than the Atomic Weight increased. By taking the square root of the frequency of the weight's increase he learnt that the increase between each element was constant.
  • World War 1

    World War 1

    World War 1 began on July 28, 1914. The war started when a Serbian Man assasinated the archduke of Bosnia in Sarajevo. The Archduke's name was Franz Ferdinand. This situation caused other countries of the world to choose sides and it ultimately led to all of Europe participating in a war.
  • Bohr's Planetary Model of The Atom

    Bohr's Planetary Model of The Atom

    In 1915, Niels Bohr proposed his Planetary Model of The Atom. The Planetary Model shows negatively charged electrons orbiting a positively-charged nucleus. It is called the Planetary Model becasue electrons orbit the nucleus like planets orbit the sun. The Bohr model is seen in most introductory science textbooks.
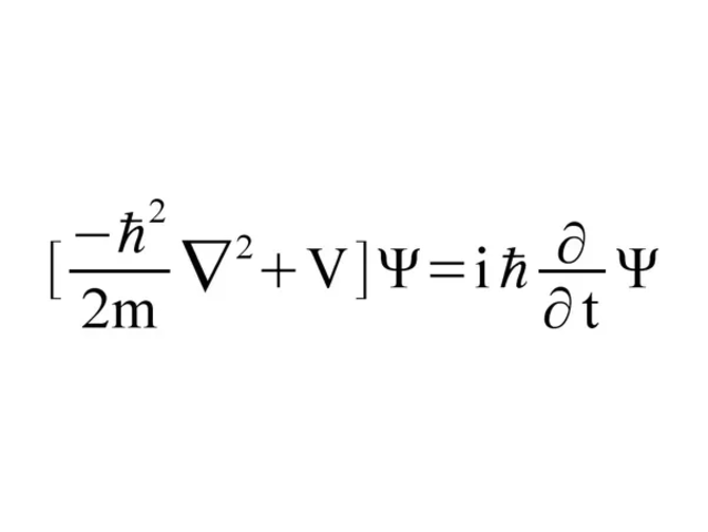
  • Schrodinger Equation

    Schrodinger Equation

    Published in 1926, The Schrodinger Equation describes the changes over time of a physical system in which quantum effects take place. It describes wave-particle duality which means all particles or quantic entity can be described in waves. The Equation won a noble prize in physics in 1933. Today The Schrodinger Equation is the basis for many scientific theories.
  • The Great Depression

    The Great Depression

    On October 29, 1929, The Great Depression officially started. On this date, the stock market crashed. This event sent Wallstreet into panic and scared millions of investors, who significantly reduced their spending. When investors reduced spending, companies went out of business and were forced to lay off workers.
  • Discovery of The Neutron

    Discovery of The Neutron

    The Neutron was discovered by James Chadwick, and English Physicist, in 1932. A Neutron is a particle located in the nucleus of the atom. This particle does not have a charge of any kind. James Chadwick directed alpha-radiation (helium nuclei) at beryllium and ended up proving the existence of the Neutron.
  • Start of World War 2

    Start of World War 2

    On September 1, 1939. Germany invaded Poland. This action had broken The Treaty Of Versatiles. The Treaty of Versatiles was created as a negotiation for the end of the First World War. Britain and France officially declared war on Germany on September 17, 1939 marking the start of World War 2.