Atom Discovery History Timeline

  • Atomos
    460

    Atomos

    Democritus, Ancient Greek philosopher theorizes the concept of invisible "atomos" or as we know, atoms.
    (Please ignore the date. Only the year is correct)
  • Period: 460 to

    Atoms

    Timeland of Atomic discoveries
  • Conservation of Mass

    Conservation of Mass

    In 1772, Antoine Lavoisier theorized, the conservation of mass. A theory that states that all of the matter and mass we first had, we'll always have.
  • Positive and Negative Charges

    Positive and Negative Charges

    Benjamin Franklin, one of America's founding fathers, discovers positive and negative charges of atoms.
    (Year is accurate)
  • Atomic Theory

    Atomic Theory

    The theory developed by John Dalton, that atoms can be distinguished by their different weights.
  • Definite Composition

    Definite Composition

    Joseph Proust creates the law of definite composition, stating that "A compound always contains two or more elements combined in a definite proportion by mass"
    (Only year is accurate.)
  • Periodic Table

    Periodic Table

    During the 1860's Dmitri Mendeleev created the concept for the Periodic table of elements.
  • X-Ray

    X-Ray

    Wilhelm Roentgen, November 8th 1895 created--accidently--the X-Ray.
  • Radioactivity

    Radioactivity

    (Only month and year are accurate)Henri Becquerel, a French scientist while conducting an experiment with uranimum, discovered radioactivity.
  • Electron Discovery

    Electron Discovery

    JJ Thompson discovers the Electron of an Atom.
  • Radiation Sources

    Radiation Sources

    Marie and Pierre Curie, French Chemists, husband and wife, discovered radioactivity in 1898.
  • Quanta

    Quanta

    Max Planck develops the Quantum theory. That light must be emitted and absorbed in a discrete amount. A radiation formula. (Please ignore the date though the year is accurate)
  • Photoeletric Effect

    Photoeletric Effect

    Albert Einstein discovered the photoelectric effect of atoms in 1905.
  • Electron Charge

    Electron Charge

    Robert Millikan first realized the charge of electrons through conducting various experiments.
  • Atomic Number

    Atomic Number

    Henry Moseley, in 1914 created atomic number concept for elements.
  • Nucleaus and Radiation types

    Nucleaus and Radiation types

    In 1918 Ernest Rutherford discovered that an atom can in fact be an Ion.
  • Atomic Model

    Atomic Model

    The image of the atom we know today was created by Niels Bohr in 1922. It is called the Atomic Model, (Only year is accurate)
  • Electron Cloud Model

    Electron Cloud Model

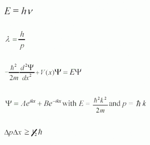
    The Austrian physicist, Erwin Schrodinger creates the first model of a whole atom with interacting waves.Hence the electron cloud. (Please ignore the date but the year is accurate)
  • Neutrons

    Neutrons

    James Chadwick, an English scientist discovered the nucleus of an atom.
  • Atomic Fission

    Atomic Fission

    In 1938, Otto Hahn, Lise Meitner, and Fritz Strassmann were the first to split the atom by filling it with neutrons.
  • Nuclear chain reaction

    Nuclear chain reaction

    Enrico Fermi, produced the first Nuclear chain reaction in 1942.

Want to make a timeline like this?

Use Timetoast to turn dates, events, milestones, and phases into a clear visual timeline you can build and share. Timetoast is a timeline maker for work, school, research, and stories.