Images

everything that matters is invisible

  • 4 ELEMENTS: IT'S ALL THAT MATTERS
    450 BCE

    4 ELEMENTS: IT'S ALL THAT MATTERS

    The ancient Greeks, Aristoteles first, believed that there were four elements that everything was made up of: earth, water, air, and fire. These four elements made up all matter, they were “pure” but could not be found in that state on earth. Every visible thing was made up of some combination of earth, water, air, and fire.
  • EARLY INTUITIONS
    300 BCE

    EARLY INTUITIONS

    Democritus,(460 370 bc) knew that if a stone was divided in half, the two halves would have essentially the same properties as the whole.Therefore, he reasoned that if the stone were to be continually cut into smaller and smaller pieces then there would be a piece which would be so small as to be indivisible. He called these small pieces "atomos," the Greek word for indivisible. Those small pieces would have had the same properties of the stone: this is the modern idea of molecule.
  • SMALL SPHERE

    SMALL SPHERE

    John Dalton (1766-1844). All matter is made of tiny indivisible particles called atoms: "solid, massy, hard, impenetrable, movable particle(s)". He hypothesized that the law of conservation of mass and the law of definite proportions could be explained using the idea of atoms. So he decided that they must exist, even though he couldn't see them.
    https://www.khanacademy.org/science/chemistry/electronic-structure-of-atoms/history-of-atomic-structure/a/daltons-atomic-theory-version-2
  • ATOMS ARE MADE OF CHARGED STUFF

    ATOMS ARE MADE OF CHARGED STUFF

    Michael Faraday (1791-1867), placed two opposite electrodes in a solution of water containing a dissolved compound. He observed that one of the elements of the dissolved compound accumulated on one electrode, and the other element was deposited on the opposite electrode. It was clear to Faraday that electrical forces were responsible for the joining of atoms in compounds.
    https://www.youtube.com/watch?v=lWtzkNEFvT4 https://www.youtube.com/watch?v=EBfEhAy4pU4
  • TOO MANY ATOMS: WE NEED A CHART

    TOO MANY ATOMS: WE NEED A CHART

    Dmitrij Ivanovič Mendeleev (1834 1907) discovered the periodic table while attempting to organise the elements in February of 1869. He did so by writing the properties of the elements on pieces of card and arranging and rearranging them until he realised that certain types of element regularly occurred.
    New elements have been discovered (the last in 2009) so atom probably is not a fundamental bit of matter…
    https://en.wikipedia.org/wiki/Timeline_of_chemical_element_discoveries
  • ELECTRON WAS FINALLY DISCOVERED

    ELECTRON WAS FINALLY DISCOVERED

    J.J. Thomson (1856-1940) discovered the electron by experimenting with a cathode ray tube. He demonstrated that cathode rays were negatively charged. He realized that the accepted model of an atom did not account for negatively or positively charged particles. Therefore, he proposed the plum pudding model. The negative electrons represented the raisins in the pudding and the dough contained the positive charge.
  • PHOTON: A WAIVEICLE

    PHOTON: A WAIVEICLE

    Albert Einstein (1879 1955), gained the Nobel prize thanks to the explanation he gave about the photoelectric effect, by using the photon: a quantum of light which behaves like a particle. Many experiments gave the evidence of the existence of the photon as a particle during the 20th century even though we can't see it at all. It has no mass, no charge and it is always in motion. In empty space its speed is 300000km/s. QM was born!
  • NUCLEUS: SOMETHING POSITIVE

    NUCLEUS: SOMETHING POSITIVE

    Ernest Rutherford (1871-1927) aimed alpha particles at a gold foil and recorded the location of their "strikes" on a fluorescent screen as they passed through the foil. Most of the alpha particles passed unaffected through, a small number of particles were deflected, and a few ricocheted straight back. Rutherford concluded that the atom has a small, dense, positively charged nucleus with negatively charged electrons surrounding it.
  • ATOMS ARE LIKE THE SOLAR SYSTEM

    ATOMS ARE LIKE THE SOLAR SYSTEM

    Neils Bohr (1885 1962), a student of Rutherford's, developed a new model of the atom. He proposed that electrons are arranged in concentric circular orbits around the nucleus. This model is patterned on the solar system and is known as the planetary model.
  • QUANTUM MODEL

    QUANTUM MODEL

    Erwin Schrödinger (1887-1961) took the Bohr atom model one step further. The [quantum mechanical model]´https://www.khanacademy.org/science/physics/quantum-physics/quantum-numbers-and-orbitals/a/the-quantum-mechanical-model-of-the-atom) of the atom doesn't define the exact path of an electron, but rather, predicts the odds of the location of the electron. This model can be portrayed as a nucleus surrounded by an electron cloud. https://www.youtube.com/watch?v=1StzvGFX4_c
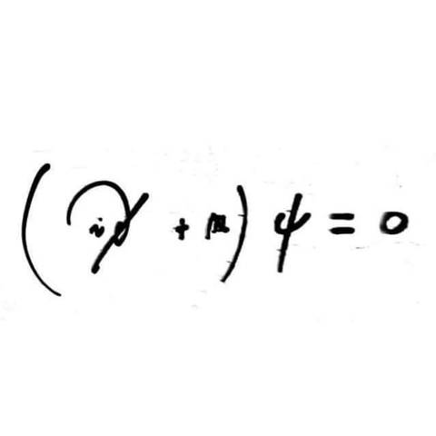
  • ANTIMATTER

    ANTIMATTER

    Paul Dirac's equation (quantum theory+special relativity) has two solutions, one for an electron with positive energy, and one for an electron with negative energy: each particle has a corresponding antiparticle, exactly matching but with opposite charge. When the BigBang occurred, matter and antimatter were created. Why are we made of matter? (https://home.cern/topics/antimatter/matter-antimatter-asymmetry-problem)
  • ACCELERATING PARTICLES: ROUND IS BETTER

    ACCELERATING PARTICLES: ROUND IS BETTER

    Ernest Lawrence invented the cyclotron, a device for accelerating nuclear particles to high velocities without the use of high voltages. The machine was used in the following years to bombard atoms of various elements. Such high-energy particles could disintegrate atoms. Initially driven by the effort to discover the antiproton, the accelerator era had begun, and with it the science of high-energy physics was born.
  • NEITHER POSITIVE NOR NEGATIVE

    NEITHER POSITIVE NOR NEGATIVE

    James Chadwick (1891-1974) bombarded beryllium atoms with alpha particles. An unknown radiation was produced. Chadwick interpreted this radiation as being composed of particles with a neutral electrical charge and the approximate mass of a proton. This particle became known as the neutron.
  • POSITRON: THE FIRST ANTIPARTICLE

    POSITRON: THE FIRST ANTIPARTICLE

    Carl Anderson (1905-1991): while studying clouds he saw for the first time an anti-electron. The particle enters a cloud chamber. The way it moves proves that it has the mass of an electron but opposite charge. The existence of antimatter was predicted in 1928. Each particle has a corresponding antiparticle, each with the same mass as its twin, but with the opposite charge.
  • MUONS SHOWER

    MUONS SHOWER

    Carl Anderson and Seth Neddermeyer discovered muons as a constituent of cosmic-ray particle showers. High-energy nuclei arriving from outer space at high speed, collide with the nuclei of atoms in the upper atmosphere creating more particles (a shower of 300000 particles per m^2 per second). The decay of some of them emits muons. It's now clear: high speed collisions between nuclei can give birth to new unknown particles.
  • PIONS AND KAONS

    PIONS AND KAONS

    CPP found some pion in photographic plates by using cosmic rays at high altitude and a cloud chamber.
    https://www.youtube.com/watch?v=sSct3-P5cRk
  • MANY MORE: THE PARTICLE ZOO

    MANY MORE: THE PARTICLE ZOO

    two new types of particles were discovered in cosmic rays: lambda0 and the K0. Then delta particles were found. In 1952 D. Glaser invents the bubble chamber. The Brookhaven Cosmotron, a 1.3 GeV accelerator, starts operation. It's the beginning of a "particle explosion", a true proliferation of particles.
  • PS IS READY TO GO

    PS IS READY TO GO

    In 1957 the first particle accelerator -the Synchrocyclotron (SC)-was built at CERN, and then the protosyncrotron(PS) began to accelerate protons for the first time in1959, becoming the world’s highest energy particle accelerator. With a beam energy of 28 GeV, the PS became host to CERN’s particle physics programme, and provide beams for experiments to this day.
  • THE QUARK IDEA

    THE QUARK IDEA

    protons, neutrons, and electron weren't enough to explain the myriad new particles being discovered so Murray Gell-Mann and George Zweig created a symmetrical mathematical scheme which requires the existence of three new elementary particles, called quarks. Then a series of electron-proton collisions (SLAC) revealed that nucleons are made of point-like particles. Other experiments in the Gargamelle bubble chamber at CERN proved that they have charges 1/3 and 2/3.
  • BOSONS: FIELD PARTICLES

    BOSONS: FIELD PARTICLES

    The relation between matter particles and field quanta is simple: matter particles interact with each other by exchanging the appropriate field quanta, a boson.
    Steven Weinberg and Abdus Salam separately proposed the existence of a boson (now called the Z0) that mediates a weak interaction, in order to unifie electromagnetic and weak interactions into the electroweak interaction. They also predicted the Higgs Boson.
  • STANDARD MODEL

    STANDARD MODEL

    As soon as the number of known particles keeps increasing (1961) scientists organize a mathematical classification scheme: the standard model.
  • DISCOVERING QUARKS

    DISCOVERING QUARKS

    M. Gell-Mann and G. Zweig suggested that mesons and baryons are composites of three quarks or antiquarks, called up, down, or strange. Since they had never been observed, the quarks were treated as a mathematical explanation. Symmetries suggested a fourth quark named charm. Then bottom.was discovered (Fermilab) Since physicists figured that quarks came in pairs they inferred the existence of top.
    http://www.particleadventure.org/quarks.html
    http://www.particleadventure.org/quarknaming.html
  • HIGGS BOSON

    HIGGS BOSON

    Almost half a century after Peter Higgs predicted a Higgs boson as part of a mechanism (invented by a number of theorists) by which fundamental particles gain mass, the ATLAS and CMS experiments at the CERN lab discover the Higgs boson.
  • DARK STUFF

    DARK STUFF

    the standard model only describes 4% of the stuff we think must exist in the universe. The other 96% is known as dark matter and dark energy. Researchers inferred the existence of dark matter only from the gravitational effect it seems to have on visible matter. Dark energy appears to be associated with the expansion of the universe, instead. AMS2

Plan projects on a visual timeline

Map milestones, phases, deadlines, and key events in one place so the sequence is easier to see and share. Timetoast is a timeline maker for work, school, research, and stories.