Út a magkémiához

  • Röntgen-sugárzás (X-ray)

    Röntgen-sugárzás (X-ray)

    Wihelm Conrad Röntgen
  • Radioaktivitás

    Radioaktivitás

    Becquerel
  • Ra és Po felfedezése, A radiokémia születése

    Ra és Po felfedezése, A radiokémia születése

    M. Curie
  • alfa- és bétasugárzás kimutatása

    E. Rutherford
    Mágneses eltérítés ellenkező irányba
  • Rutherford felfedezései

    Rutherford felfedezései

    1900 - A bétasugarak elektronok!
    1902 - Radioaktív bomlástörvény(exponenciális bomlás)
    1903 - Radioaktív elemátalakulás, bomlási sorok
  • Tömeg-energia ekvivalencia elv

    Tömeg-energia ekvivalencia elv

    fotoelektromos hatás magyarázata
    Einstein
  • Radioaktív nyomjelzés

    Radioaktív nyomjelzés

    Hevesy György
  • Kvantummechanika, Pauli- elv, Heisenberg-reláció

    Kvantummechanika, Pauli- elv, Heisenberg-reláció

    1924 - 27 Dirac, Pauli, Heisenberg, Schrödinger
  • Az erős kölcsönhatás

    Az erős kölcsönhatás

    Wigner Jenő
  • Szilárd Leó szabadalmaztatja a nukleáris láncreakciót

    Szilárd Leó szabadalmaztatja a nukleáris láncreakciót

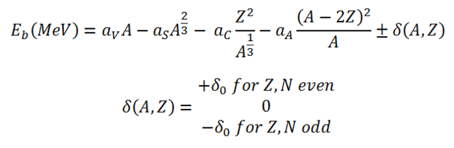
  • A Weizsäcker-formula

    A Weizsäcker-formula

  • Az első atomreaktor

    Az első atomreaktor

    E. Fermi és mtsai

Looking for a timeline maker?

Create timelines for projects, roadmaps, history, lessons, legal cases, and stories with Timetoast. Timetoast is a timeline maker for work, school, research, and stories.