Tecnologías de información y comunicación en la práctica educativa.

  • Samuel Morse

    Samuel Morse

    Invención del telegrafo
  • Telegrafo

    Telegrafo

    Imagen de un telegrafo electrico
  • Imagen de teléfono antiguo

    Imagen de teléfono antiguo

  • Graham Bell

    Graham Bell

    Graham Bell
    1876 – Invención del teléfono.
  • Nikola Tesla

    Nikola Tesla

    Uno de los que invento el radio
  • Guglielmo Marconi

    Guglielmo Marconi

    Otro de los inventores del radio, 1895
  • Invención del cinematógrafo.

    Invención del cinematógrafo.

  • Hermanos Lumière

    Hermanos Lumière

  • Primera transmisión radiofónica

    Primera transmisión radiofónica

    1920 – Primera transmisión radiofónica
  • David Sarnoll

    Telegrafista que supo ver las posibilidades comerciales de la radio, a partir de una recepción múltiple,
  • Uso del primer aparato de televisión.

    Uso del primer aparato de televisión.

  • Electronic Numerical Integrator and Calculator (ENIAC)

    Electronic Numerical Integrator and Calculator (ENIAC)

    Fue inventado por J. Presper Eckert y John Mauchly en la Universidad de Pensilvania para calculo de la artillería en el Laboratorio de Investigación Balística del Ejército de los Estados Unidos.
  • TX-2 at MIT

    TX-2 at MIT

    En MIT, una amplia variedad de experimentos informáticos están ocurriendo. Ivan Sutherland utiliza el TX-2 para escribir Sketchpad, el origen de los programas gráficos para el diseño asistido por ordenador.
  • DEC PDP-8

    DEC PDP-8

    DEC revela el PDP-8, el primer minicomputador con éxito comercial. Lo suficientemente pequeño para sentarse en un escritorio, se vende por $ 18,000 - un quinto del costo de un mainframe IBM / 360 de gama baja. La combinación de velocidad, tamaño y costo permite el establecimiento del minicomputador en miles de plantas de fabricación, oficinas y laboratorios científicos
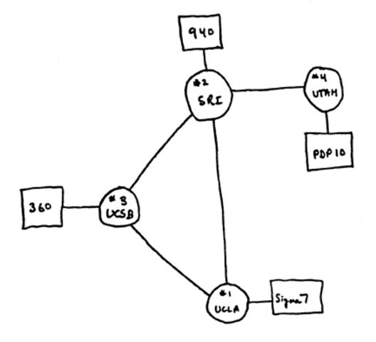
  • 4-node ARPANET diagram

    4-node ARPANET diagram

    4-node ARPANET diagram 1969
  • DEC's PDP-10

    DEC's PDP-10

    Bob Metcalfe construye una interfaz de red de alta velocidad (100 Kbps) entre el MIT IMP y un PDP-6 al ARPANET. Funciona durante 13 años sin intervención humana. Metcalfe continúa construyendo otra interfaz ARPANET para el clon PDP-10 de Xerox PARC (MAXC).
  • Xerox PARC Alto

    Xerox PARC Alto

    Ethernet se demuestra mediante la conexión en red de los nuevos ordenadores Xerox PARC.
  • La IBM 5100

    La IBM 5100

    Es la primera computadora portátil, que fue lanzada en septiembre de 1975. La computadora pesaba 55 libras y tenía una pantalla CRT de cinco pulgadas, unidad de cinta, procesador PALM de 1.9 MHz y 64 KB de RAM. En la foto se encuentra un anuncio del IBM 5100 tomado de un número de noviembre de 1975 de Scientific America.
  • Portada de COMPUTER Magazine

    Portada de COMPUTER Magazine

    Larry Landweber en Wisconsin tiene una reunión con otras seis universidades para discutir la posibilidad de construir una Red de Investigación de Ciencias de la Computación que se llamará CSNET. Bob Kahn asiste como consejero de DARPA, y Kent Curtis atiende de los programas de investigación de computadora de NSF. La idea evoluciona durante el verano entre Landweber, Peter Denning (Purdue), Dave Farber (Delaware) y Tony Hearn (Utah).
  • Osborne I

    Osborne I

    La primera real computadora portátilI, que fue lanzado en abril de 1981 y desarrollada por Adam Osborne. Pesaba 24,5 libras, tenía una pantalla de 5 pulgadas, 64 KB de memoria, dos unidades de disquete de 5 1/4 ", funcionaba con el sistema operativo CP / M 2.2, incluía un módem, y cuesta US $ 1.795.
  • Map of the NSFNet Backbone 1986

    Map of the NSFNet Backbone 1986

    Entre el principio de 1986 y el final de 1987 el número de redes crece de 2.000 a casi 30.000.
  • NSFNet T-1 Backbone Map,

    NSFNet T-1 Backbone Map,

    La actualización de la columna vertebral NSFNET a T1 se completa e Internet comienza a ser más internacional con la conexión de Canadá, Dinamarca, Finlandia, Francia, Islandia, Noruega y Suecia.
  • NSFNet Backbone,

    NSFNet Backbone,

    El número de redes supera los 7.500 y el número de computadoras conectadas pasa de 1.000.000. El MBONE por primera vez transporta audio y video.
  • Una breve historia de Internet

    Una breve historia de Internet

    Desde el inicio de la guerra fria hasta el 2017

Want to make a timeline like this?

Use Timetoast to turn dates, events, milestones, and phases into a clear visual timeline you can build and share. Timetoast is a timeline maker for work, school, research, and stories.