Telecomunicaciones

Linea de tiempo general

  • El Telégrafo

    El Telégrafo

    Fecha: 1835
    Creador: Samuel Morse y Alfred Lewis Vail
    Nombre de la creación:Telégrafo y Código Morse
    Es el punto de partida para las comunicaciones a través de redes eléctricas.
  • Leyes de Electromagnetismo

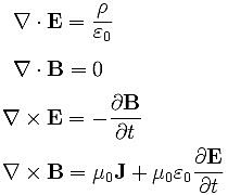
    Leyes de Electromagnetismo

    Fecha: 1865
    Creadores: Coulomb, Gauss, Ampere Faraday, y otros,
    Nombre de la creación:Ecuaciones del Electromagnetismo
    James Clerk Maxwell,en 1865 publico A Dynamical Theory of the Electromagnetic Field, condensando en ocho ecuaciones del electromagnetismo.
    Nos párese importante la teoría electromagnética para entender y mejorar los aparatos empleados en las Telecomunicaciones.
  • El Teléfono

    El Teléfono

    Fecha: 1876
    Creadores: Antonio Meucci, patentado por Alexander Graham Bell
    Nombre de la creación: Teléfono
    Es el paso siguiente al telégrafo, transmitir señales de voz a través de cable eléctrico.
  • La Radio

    La Radio

    Fecha: 1894
    Creadores: Nikola Tesla y Guillermo Marconi
    Nombre de la creación: Sistema de Radio
    En 1894 Tesla hizo su primera demostración en público de una transmisión de radio en EE.UU.
    En 1901 Marconi logra enviar señales a la otra orilla del Atlántico, a través de 3360 km de océano.
    El medio de comunicación general, para informar de forma no particular.
  • 1ra Conexión Inalámbrica

    1ra Conexión Inalámbrica

    Fecha: 1895
    Creador: Alexander Stepanovich Popov
    Nombre de la creación: conexión inalámbrica
    Popov logró realizar la primera comunicación de un mensaje a una distancia de 250 metros. Para ello utilizó los tres elementos básicos en este tipo de comunicación: un oscilador, el detector y la antena.
    De aquí nace lo que hoy utilizamos a diario y lo que nos ha facilitado la vida.
  • El Diodo

    El Diodo

    Fecha: 1904
    Creador: John Ambrose Fleming
    Nombre de la creación: Rectificador electrónico de dos electrodos
    Permite mejorar los dispositivos electrónicos, dando paso a la creación de la válvula de vació en 1919 por Walter H. Schottky.
  • El Transistor

    El Transistor

    Fecha: 1947
    Creadores: William Shockley, John Bardeen y Walter Brattain
    Nombre de la creación: Transistor
    Necesario para disminuir el tamaño y mejorar los dispositivos empleados en las telecomunicaciones.
  • La Fibra optica en las Telecomunicaciones

    La Fibra optica en las Telecomunicaciones

    Fecha: 1956
    Creador: Sir Charles Kuen Kao
    Nombre de la creación: Transmisión de datos en Fibras ópticas
    Mejora el envió de información dado que presenta menos perdidas que los medios empleados hasta ese momento, teóricamente perdidas inferiores a 20 dBs por kilómetro .
  • Proyecto Eco

    Proyecto Eco

    Fecha: 1960-1964
    Creadores: NASA
    Nombre de la creación: Echo y Echo 2
    Echo y Echo 2, fueron los dos primeros satélites experimentales de comunicaciones de la NASA. Cada Echo era un enorme globo metalizado diseñado para actuar como un reflector pasivo en el que hacer rebotar señales de comunicación y poder poner en contacto dos puntos alejados de la Tierra.
    Primeras comunicaciones intercontinentales de radio, teléfono y televisión (utilizándose señales a 960 MHz y 2390 MHz)
  • Red Arpanet

    Red Arpanet

    Fecha: 1968
    Creador: Departamento de Defensa de los Estados Unidos
    Nombre de la creación: ARPANET
    El 29 de octubre de 1969 se transmite el primer mensaje a través de ARPANET y se establece el primer enlace entre la Universidad de California y el Instituto de Investigaciones de Stanford como medio de comunicación para los diferentes organismos del país. Internet tiene sus orígenes gracias a la red que fue creada para distribuir información confidencial en caso de un ataque nuclear.
  • E-Mail

    E-Mail

    Fecha: 1971
    Creador: Ray Tomlinson
    En 1971, cuando la BBN ya estaba conectada a ARPANET, Tomlinson adaptó el programa SNDMSG de forma tal que sirviera para enviar mensajes entre diferentes usuarios conectados a una red más amplia, pero sin que fueran conocidos (lo que hoy día se conoce como correo electrónico o e-mail). Allí fue que se le ocurrió utilizar un símbolo, @, como separador entre el nombre del usuario y del servidor. Su primera dirección de correo fue tomlinson@bbn-tenexa.
  • Gusano Morris

    Gusano Morris

    Fecha: 1988
    Creador: Robert Tappan Morris
    Nombre de la creación: Gusano Morris
    Uno de los primeros gusanos de Internet fue lanzado este año, conocido como The Morris Worm, y causó interrupciones en el servicio de manera general en gran parte de Internet (entonces ARPANET). De los 60.000 ordenadores el gusano afectó cerca de 6.000 sistemas de ordenadores en los Estados Unidos (incluyendo el centro de investigación de la NASA) y dejó casi inútiles algunos de ellos.
  • World Wide Web

    World Wide Web

    Fecha: 1989
    Creador:Timothy John Berners-Lee
    Nombre de la creación: World Wide Web
    Se estableció la primera comunicación entre un cliente y un servidor usando el protocolo HTTP, facilito el acceso en compartir información .
  • Primer Navegador Gráfico

    Primer Navegador Gráfico

    Fecha: 1993
    Creador: NCSA- Marc Andreessen
    Nombre de la creación: Mosaic
    En 1992, el NCSA de EE UU comenzó el desarrollo de Mosaic, el primer programa de navegación gráfico que interpretaba el código html de las páginas web. Mosaic disponía de la misma interfaz para Unix, Macintosh y Windows, lo que contribuyó a la expansión de la Red. Además fue la base del navegador Spyglass, que luego fue adquirido por Microsoft y renombrado Internet Explorer.
  • Google

    Google

    Fecha: 1996
    Creadores: Larry Page & Sergey Brin
    Nombre de la creación: Google
    Larry Page y Sergey Brin comenzaron Google como un proyecto universitario en enero de 1996 cuando ambos eran estudiantes de posgrado en ciencias de la computación en la Universidad de Stanford. El nombre original del buscador era BackRub, en 1997 los fundadores deciden cambiar el nombre a Google inspirados por el término matemático gúgol.
  • Telefonía móvil 5G

    Telefonía móvil 5G

    Fecha: 2020?
    Creadores: ---------------
    Nombre de la creación: Telefonía móvil 5G
    En telecomunicaciones, 5G son las siglas utilizadas para referirse a la quinta generación de tecnologías de telefonía móvil. Es la sucesora de la tecnología 4G. Actualmente se encuentra sin estandarizar y las empresas de telecomunicación están desarrollando sus prototipos. Está previsto que su uso común sea en 2020.

A list shows items. A timeline shows sequence.

Use Timetoast to make dates, milestones, and turning points easier to understand in a clear visual format. Timetoast is a timeline maker for work, school, research, and stories.